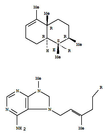
agelasine B(92664-76-1)
- Name: agelasine B
- Synonyms:7H-Purinium,6-amino-9-methyl-7-[(2E)-3-methyl-5-[(1S,2R,4aR,8aR)-1,2,3,4,4a,7,8,8a-octahydro-1,2,4a,5-tetramethyl-1-naphthalenyl]-2-pentenyl]-(9CI); 7H-Purinium, 6-amino-9-methyl-7-[3-methyl-5-(1,2,3,4,4a,7,8,8a-octahydro-1,2,4a,5-tetramethyl-1-naphthalenyl)-2-pentenyl]-,[1S-[1a(E),2b,4ab,8aa]]-; (-)-Agelasine B; Agelasine B
- Molecular Formula:C26H40 N5
- Molecular Weight:422.64
- CAS Registry Number:92664-76-1
- EINECS:
- Melting Point:
- Water Solubility:
Other Product
- 5735-50-2/1-(2-methylphenyl)-5-(3-nitrophenyl)-3-phenyl-4,5-dihydro-1H-pyrazole
- 26756-89-8/N-(2,3-dimethylphenyl)-3-(2H-tetrazol-5-yl)pyridin-2-amine
- 94249-04-4/5-acetamido-3-[[4-(anilino)phenyl]azo]-4-hydroxynaphthalene-2,7-disulphonic acid, sodium salt
- 17416-17-0/N,N-dimethyl-4-[(E)-quinolin-5-yldiazenyl]aniline
- 89798-57-2/3-[(dimethylcarbamothioyl)sulfanyl]prop-2-enoic acid
- 102855-13-0/ethyl (2Z,4Z,6Z,8Z)-9-(2-chloro-4-methoxy-3,6-dimethylphenyl)-3,7-dimethylnona-2,4,6,8-tetraenoate
- 108086-40-4/N-(4-methoxyphenyl)-2-(4-oxoquinazolin-3(4H)-yl)acetamide
- 154099-02-2/b-D-Glucopyranoside, (3b,5a,6a,15b,24S)-6,8,15-trihydroxy-3-(b-D-xylopyranosyloxy)cholestan-24-yl,6-(hydrogen sulfate), monosodium salt (9CI)
- 152269-49-3/2-amino-3-((phosphonomethyl)thio)propionic acid
- 129816-92-8/2-[(3S,6S,9S,12S,15S,21S,24S,27R,33aS)-12,15-di[(2S)-butan-2-yl]-24-(4-methoxybenzyl)-2,8,11,14,20,27-hexamethyl-1,4,7,10,13,16,19,22,25,28-decaoxo-3,6,21-tri(propan-2-yl)dotriacontahydropyrido[1,2-d][1,4,7,10,13,16,19,22,25,28]oxanonaazacyclotriacontin-9
- 33606-81-4/myricanol
- 15422-74-9/(~218~Po)polonium
- 2435-76-9/5-DIAZOURACIL
- 104490-70-2/Hexanoic acid, methyl-(9CI)
- 29883-16-7/Benzeneacetonitrile, a-[(6-O-b-D-glucopyranosyl-b-D-glucopyranosyl)oxy]-, (aS)-
- 36753-68-1/N-(bromoacetyl)-L-phenylalanine
- 102434-17-3/Urea,N-1,3-benzodioxol-5-yl-N'-(2-bromoethyl)-
- 18704-37-5/8-Quinolinesulfonyl chloride
- 92664-76-1/agelasine B
- 60655-39-2/ethyl 3-methoxy-O-(3-morpholin-4-ylpropyl)-L-tyrosinate dihydrochloride
- 69734-83-4/Cannabigerorcinic acid
- 177080-77-2/(3beta,5alpha)-3-hydroxy-3-(trifluoromethyl)pregnan-20-one
- 71079-39-5/2-tert-butyl-1-(2-methylquinolin-4-yl)-3-(4H-1,2,4-triazol-4-yl)guanidine
- 94160-42-6/tetrasodium 2,2'-[(3,3'-dimethyl[1,1'-biphenyl]-4,4'-diyl)bis[imino[1-(1-hydroxyethylidene)-2-oxo-2,1-ethanediyl]azo]]bis[5-[[[(4-sulphonatophenyl)amino]carbonyl]amino]benzoate]
- 144476-63-1/2,4-Dioxatricyclo[3.3.1.13,7]decan-10-one,1,8-dihydroxy-3-methyl-6-[(1E)-1-propenyl]-, (1R,3R,5S,6R,7S,8S)-rel-(-)- (9CI)
- 9038-53-3/Pyrophosphatase,thiamin
- 73688-64-9/Benzenesulfonic acid, p-nitro-, 2,2,2-tribromoethyl ester
- 110629-42-0/N-{2-[4-(diphenylmethyl)piperazin-1-yl]ethyl}-3-nitropyridin-4-amine trihydrochloride
- 25756-79-0/Phosphonohydrazidothioicacid (8CI,9CI)
- 14647-25-7/dichloroplatinum
