Current position:Home >Product >
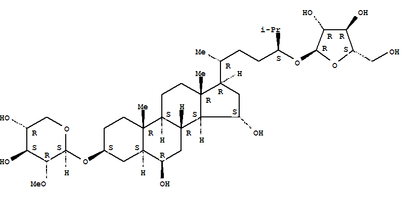
a-L-Arabinofuranoside, (3b,5a,6b,15a,24S)-6,15-dihydroxy-3-[(2-O-methyl-b-D-xylopyranosyl)oxy]cholestan-24-yl(9CI)
a-L-Arabinofuranoside, (3b,5a,6b,15a,24S)-6,15-dihydroxy-3-[(2-O-methyl-b-D-xylopyranosyl)oxy]cholestan-24-yl(9CI)(100665-54-1)
- Name: a-L-Arabinofuranoside, (3b,5a,6b,15a,24S)-6,15-dihydroxy-3-[(2-O-methyl-b-D-xylopyranosyl)oxy]cholestan-24-yl(9CI)
- Synonyms:Cholestane,a-L-arabinofuranoside deriv.; GranulatosideB
- Molecular Formula:C38H66 O12
- Molecular Weight:
- CAS Registry Number:100665-54-1
- EINECS:
- Melting Point:
- Water Solubility:
Other Product
- 309-88-6/N,N-Diethyl-1,1,2,3,3,3-hexafluoropropylamine
- 142307-40-2/(5E)-3-ethyl-2-[(E)-(3-ethylbenzooxazol-2-ylidene)methyl]-5-(3-methylb enzothiazol-2-ylidene)-1-thia-3-azoniacyclopent-2-en-4-one acetate
- 116597-55-8/Fatty acids, dehydrated castor-oil, polymers with benzoic acid, pentaerythritol, phthalic anhydride and tall-oil fatty acids
- 3768-55-6/N-TRIMETHYLSILYLANILINE
- 54420-11-0/2-[2-(2,4-dinitrophenyl)hydrazinylidene]propane-1,3-diol
- 113296-23-4/2-aminooxetanocin A
- 68607-27-2/Quaternary ammonium compounds, (hydrogenated tallow alkyl)bis(hydroxyethyl)methyl, chlorides
- 26068-71-3/2-Benzofuranmethanaminium,N-ethyl-N-methyl-N-[2-(trimethylammonio)ethyl]-, iodide (1:2)
- 498-16-8/LAVANDULOL
- 85190-63-2/Doverphos S 682
- 217449-19-9/Comoramide A
- 151581-23-6/Apaxifylline
- 111337-84-9/sperabillin C
- 58702-12-8/1-hydroxypregnacalciferol
- 5616-55-7/Benzaldehyde ethane-1,2-diyl dithioacetal
- 55089-03-7/2,2'-oxybis[5,5-dimethyl-1,3,2-dioxaborinane]
- 100665-54-1/a-L-Arabinofuranoside, (3b,5a,6b,15a,24S)-6,15-dihydroxy-3-[(2-O-methyl-b-D-xylopyranosyl)oxy]cholestan-24-yl(9CI)
- 14801-84-4/pendulin
- 52286-91-6/1-oxyl-2,2,6,6-tetramethyl 4-piperidinyl nicotinate
- 2231-57-4/Thiocarbohydrazide
- 6963-39-9/α-Methyl-2-furan-1-propanol
- 94022-12-5/2-[2-(nonylphenoxy)ethoxy]ethyl docosanoate
- 740-12-5/3,4,5-trimethoxy-N-(2-methylphenyl)benzamide
- 2485-10-1/N-(2-FLUORENYL)PHTHALAMICACID
- 83513-48-8/OH 10172
- 16601-02-8/S-benzyl 4-methylbenzenesulfonothioate
- 96817-08-2/5H-Furo[3,4-i]oxepino[4,3-a]xanthene-3,12- dione,6-(acetyloxy)-1,2,5a,6,7,7a,10,14,14a,- 14b-decahydro-13-methoxy-5,5,7a,9,14bpentamethyl-,(5aS,6R,7aS,14aR,14bR)-
- 131608-78-1/Technetium-99Tc,bis(N-ethoxy-N-ethylcarbamodithioato-kS,kS')nitrido-, (SP-5-21)-
- 99305-89-2/3-hydroxy-5-phosphono-L-norvaline
- 3132-25-0/4-ethylphenyl chloroacetate
