Current position:Home >Product >
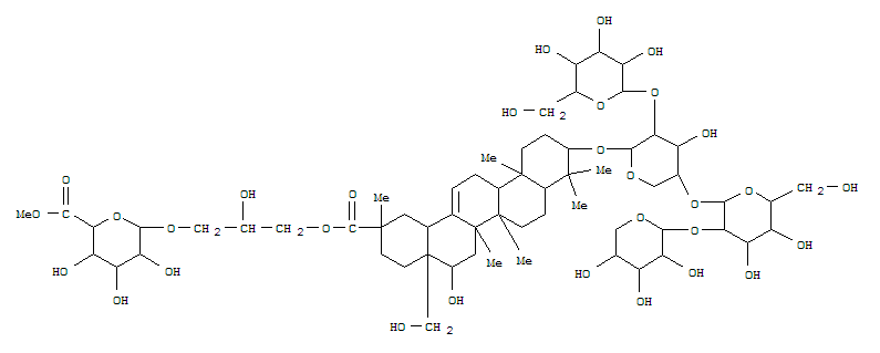
a-D-Glucopyranosiduronic acid,3-[[(3b,16a,20b)-3-[(O-b-D-glucopyranosyl-(1®2)-O-[O-b-D-xylopyranosyl-(1®2)-b-D-glucopyranosyl-(1®4)]-a-L-arabinopyranosyl)oxy]-16,28-dihydroxy-29-oxoolean-12-en-29-yl]oxy]-2-hydroxypropyl,methyl ester (9CI)
a-D-Glucopyranosiduronic acid,3-[[(3b,16a,20b)-3-[(O-b-D-glucopyranosyl-(1®2)-O-[O-b-D-xylopyranosyl-(1®2)-b-D-glucopyranosyl-(1®4)]-a-L-arabinopyranosyl)oxy]-16,28-dihydroxy-29-oxoolean-12-en-29-yl]oxy]-2-hydroxypropyl,methyl ester (9CI)(159768-72-6)
- Name: a-D-Glucopyranosiduronic acid,3-[[(3b,16a,20b)-3-[(O-b-D-glucopyranosyl-(1®2)-O-[O-b-D-xylopyranosyl-(1®2)-b-D-glucopyranosyl-(1®4)]-a-L-arabinopyranosyl)oxy]-16,28-dihydroxy-29-oxoolean-12-en-29-yl]oxy]-2-hydroxypropyl,methyl ester (9CI)
- Synonyms:ArdisicrenosideF
- Molecular Formula:C62H100 O31
- Molecular Weight:
- CAS Registry Number:159768-72-6
- EINECS:
- Melting Point:
- Water Solubility:
Other Product
- 79867-79-1/6,8,11-trihydroxy-8-(1-hydroxyethyl)-10-[(4S,5S,6S)-5-hydroxy-6-methyl -4-morpholin-4-yl-oxan-2-yl]oxy-1-methoxy-9,10-dihydro-7H-tetracene-5, 12-dione
- 89840-83-5/4-nitro-N,N-dipropylbenzenesulfonamide
- 56596-05-5/1H-Pyrrolo[2,3-d]carbazole,4-ethyl-2,3,3a,4,5,6,6a,7-octahydro-3-propyl-, (3aR,4S,6aR,11bR)-
- 139640-89-4/Manganese,[[2-[(dithiocarboxy)amino]ethyl]- carbamodithioato(2-)-kS,kS']-,mixt. with 1-(4-chlorophenoxy)-3,3-dimethyl-1-(1H-1,- 2,4-triazol-1-yl)-2-butanone,[[2-[(dithiocarboxy)amino]ethyl]- carbamodithioato(2-)-kS,kS']zinc and sulfur
- 7234-76-6/zinc, chlorozinc, [(diphenyl-trimethylsilylimino-phosphoranyl)methylene-diphenyl-phosphoranyl]-trimethylsilyl-azanide
- 56656-94-1/5-[(4-BROMOPHENYL)SULFANYL]-2-FURALDEHYDE
- 7506-05-0/1-{2-[diethyl(methyl)ammonio]ethyl}-1,3-dimethylazepanium
- 86349-53-3/sodium 4-[(3-oxobutanoyl)amino]benzenesulfonate
- 26689-69-0/2-amino-3,8-dibromophenanthridin-6(5H)-one
- 8073-74-3/Asphen
- 93776-47-7/Ditetradecyl hydrogen 2-hydroxypropane-1,2,3-tricarboxylate
- 17190-25-9/(9-hydroxy-9H-fluoren-9-yl)acetonitrile
- 138834-42-1/methyl (9E)-12,13-dichlorooctadec-9-enoate
- 68784-73-6/2-Propenoic acid, 2-methyl-, 2-(methyl((gamma-omega-perfluoro-C8-14-alkyl)sulfonyl)amino)ethyl esters, reaction products with polyethylene glycol bis(mercaptoacetate)
- 193635-81-3/2-Propenoic acid,polymers with hydrolyzed poly(vinyl acetate), sodium salts
- 81421-79-6/2-Propenoic acid,2-(hydroxymethyl)-,(3aR,4S,6aR,9aR,9bR)-dodecahydro-3,6,9-tris(methylene)-2-oxoazuleno[4,5-b]furan-4-ylester
- 119457-23-7/(4Z)-2-[(2-chloro-6H-indolo[2,3-b]quinoxalin-6-yl)acetyl]-4-[1-(4-chlorophenyl)ethylidene]-5-methyl-2,4-dihydro-3H-pyrazol-3-one
- 159768-72-6/a-D-Glucopyranosiduronic acid,3-[[(3b,16a,20b)-3-[(O-b-D-glucopyranosyl-(1®2)-O-[O-b-D-xylopyranosyl-(1®2)-b-D-glucopyranosyl-(1®4)]-a-L-arabinopyranosyl)oxy]-16,28-dihydroxy-29-oxoolean-12-en-29-yl]oxy]-2-hydroxypropyl,methyl ester (9CI)
- 119748-34-4/Spiro[as-indacene-3(1H),1'-cyclohexane],decahydro-2',5a-dimethyl-, (2'R,3aS,5aS,8aS,8bS)-
- 144304-53-0/Phosphorochloridocyanidicacid (9CI)
- 7718-66-3/1-(iodomethyl)-4-(phenylsulfonyl)benzene
- 20596-93-4/MAGNESIUM URANYL ACETATE
- 119212-28-1/3H-Cyclotridec[d]oxireno[f]isoindole-7,8,11,12(4H,13H)-tetrone,15-ethyl-9,10,14,14a,15,15a,16a,16b-octahydro-14-[(1R)-1-(1H-indol-3-yl)ethyl]-4,6,15a-trimethyl-,(1E,4S,5E,11aR,14S,14aR,15S,15aR,16aS,16bR)- (9CI)
- 71799-50-3/D-Glucitol, 1-deoxy-1-(methylamino)-, reaction products with chloromethylated divinylbenzene-ethenylethylbenzene-styrene polymer
- 68991-12-8/Linseed oil, polymer with dipentaerythritol, formaldehyde, fumaric acid, isophthalic acid, nonylphenol, pentaerythritol, rosin and trimethylolpropane
- 55443-02-2/5-Heptenoic acid,7-[(1R,2R,3R,5S)-2-[(1E,3S)-5-cyclohexyl-3-hydroxy-1-penten-1-yl]-3,5-dihydroxycyclopentyl]-,(5Z)-
- 167078-04-8/Amines, coco alkyl,ethoxylated, compds. with polyacrylic acid
- 33685-60-8/9,10-DINITROANTHRACENE
- 124739-45-3/4,12,23,27-Hexatetracontatetraene-1,18,21,45-tetrayne-3,20-diol,(3S,4E,12Z,20S,23E,27Z)- (9CI)
- 85958-84-5/Chromate(1-),[3-[[[5-[(2-chloro-5-sulfophenyl)azo]-2-hydroxyphenyl]methylene]amino]-2-hydroxy-5-nitrobenzenesulfonato(4-)]-,potassium (9CI)
