Current position:Home >Product >
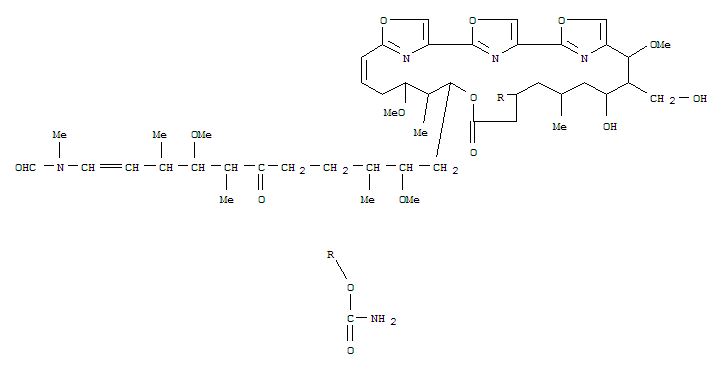
(24Z)-20-{(10E)-11-[formyl(methyl)amino]-2,8-dimethoxy-3,7,9-trimethyl-6-oxoundec-10-en-1-yl}-12-hydroxy-11-(hydroxymethyl)-10,22-dimethoxy-14,21-dimethyl-18-oxo-3,7,19,27-tetraoxa-29,30,31-triazatetracyclo[24.2.1.1~2,5~.1~6,9~]hentriaconta-1(28),2(31),4,
(24Z)-20-{(10E)-11-[formyl(methyl)amino]-2,8-dimethoxy-3,7,9-trimethyl-6-oxoundec-10-en-1-yl}-12-hydroxy-11-(hydroxymethyl)-10,22-dimethoxy-14,21-dimethyl-18-oxo-3,7,19,27-tetraoxa-29,30,31-triazatetracyclo[24.2.1.1~2,5~.1~6,9~]hentriaconta-1(28),2(31),4,(101550-93-0)
- Name: (24Z)-20-{(10E)-11-[formyl(methyl)amino]-2,8-dimethoxy-3,7,9-trimethyl-6-oxoundec-10-en-1-yl}-12-hydroxy-11-(hydroxymethyl)-10,22-dimethoxy-14,21-dimethyl-18-oxo-3,7,19,27-tetraoxa-29,30,31-triazatetracyclo[24.2.1.1~2,5~.1~6,9~]hentriaconta-1(28),2(31),4,
- Synonyms:KabiramideC, 47-hydroxy-;3,7,19,27-Tetraoxa-29,30,31-triazatetracyclo[24.2.1.12,5.16,9]hentriacontane,kabiramide C deriv.; Kabiramide A
- Molecular Formula:C48H71 N5 O15
- Molecular Weight:958.1018
- CAS Registry Number:101550-93-0
- EINECS:
- Melting Point:
- Water Solubility:
Other Product
- 52762-72-8/3-ethyl-2-[(1E,3Z)-3-(3-ethyl[1,3]thiazolo[4,5-b]quinolin-2(3H)-ylidene)prop-1-en-1-yl][1,3]thiazolo[4,5-b]quinolin-3-ium bromide
- 4563-56-8/bis(O,O-didodecyl phosphorodithioato-S,S)-Zinc
- 93983-27-8/heptapotassium hydrogen [ethane-1,2-diylbis[nitrilobis(methylene)]]tetrakisphosphonate
- 24629-60-5/N-(cyanomethyl)-1,7,7-trimethylbicyclo[2.2.1]heptan-2-aminium chloride
- 65605-49-4/Ethanol, 2,2'-oxybis-, polymer with 1,3-diisocyanatomethylbenzene, .alpha.-hydro-.omega.-hydroxypoly(oxy-1,4-butanediyl) and 1,1'-methylenebis[4-isocyanatocyclohexane]
- 43157-27-3/1-Deamino-9-thio-gly-oxytocin
- 63885-71-2/2-{2-[bis(1-methylethyl)amino]ethoxy}ethyl 10H-pyrido[3,2-b][1,4]benzothiazine-10-carboxylate hydrochloride
- 39297-77-3/Potassium pentamer
- 90459-36-2/Nickelate(4-), (bis(((3-((4,5-dihydro-3-methyl-5-oxo-1-(4-((2-(sulfooxy)ethyl)sulfonyl)phenyl)-1H-pyrazol-4-yl)azo)phenyl)amino)sulfonyl)-29H,31H-phthalocyaninedisulfonato(6-)-N29,N30,N31,N32)-, sodium
- 73287-67-9/4-hydroxy-1-methyl-3-[[4-(phenylazo)phenyl]azo]-2-quinolone
- 89957-55-1/Aristolochiaindica, ext.
- 1774-97-6/N,N-dimethyl-4H-1,3,2-benzodioxaphosphinin-2-amine 2-oxide
- 70892-86-3/Phenol, 2-furancarboxaldehyde, dipotassium carbonate polymer
- 55282-11-6/11-pentan-3-ylhenicosane
- 75643-77-5/2-methyl-3-oxo-5,6-diphenyl-2,3-dihydropyridazine-4-carbonitrile
- 70729-79-2/Nickelate(4-), (22-(((4-sulfophenyl)amino)sulfonyl)-29H,31H-phthalocyanine-1,8,15-trisulfonato(6-)-kappaN29,kappaN30,kappaN31,kappaN32)-, tetrahydrogen, (SP-4-2)-
- 101550-93-0/(24Z)-20-{(10E)-11-[formyl(methyl)amino]-2,8-dimethoxy-3,7,9-trimethyl-6-oxoundec-10-en-1-yl}-12-hydroxy-11-(hydroxymethyl)-10,22-dimethoxy-14,21-dimethyl-18-oxo-3,7,19,27-tetraoxa-29,30,31-triazatetracyclo[24.2.1.1~2,5~.1~6,9~]hentriaconta-1(28),2(31),4,
- 68989-89-9/Gilsonite, polymer with linseed oil, lead salt
- 93300-00-6/7-Chloro-1-(4-nitrophenyl)-4H-(1,2,4)triazolo(3,4-c)(1,4)benzothiazine
- 2211-28-1/4-hydroxy-2-methylnaphthyl benzoate
- 95135-79-8/alpha-Cyclohexyl-1-hydroxy-4-methylcyclohexaneacetic acid 2-(diethylamino)ethyl ester HCl
- 61204-02-2/trans-4-(4-hexylcyclohexyl)benzonitrile
- 1440-62-6/1,2-dimorpholin-4-ylethanone
- 98384-62-4/CHF 2363
- 22223-49-0/Methyl 2-amino-3-methylbenzoate
- 80584-97-0/Hydrofluoric acid, reaction products with myristoyl chloride, high-boiling fractions
- 101997-59-5/4-methoxy-N-(4-methoxyphenyl)-N-(2-piperidin-1-ylethyl)aniline hydrochloride
- 25638-88-4/beryllium zinc silicate
- 91844-58-5/Benzene, C10-12-alkyl derivs., distn. residues, sulfonated, calcium salts
- 87440-96-8/tetrasodium 3-[[4-[[4-[(6-amino-1-hydroxy-3-sulphonato-2-naphthyl)azo]-7-sulphonato-1-naphthyl]azo]-1-naphthyl]azo]naphthalene-1,5-disulphonate
