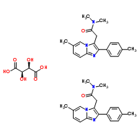
Zolpidem tartrate(99294-93-6)
- Name: Zolpidem tartrate
- Synonyms:N,N-dimethyl-2-[6-methyl-2-(4-methylphenyl)imidazo[1,2-a]pyridin-3-yl]acetamide 2,3-dihydroxybutanedioate (2:1);(2R,3R)-2,3-Dihydroxybutandis?ure--N,N-dimethyl-2-[6-methyl-2-(4-methylphenyl)imidazo[1,2-a]pyridin-3-yl]acetamid(1:2);Bilcam;Cymerion;Dalparan;Durnit;Eudorm;Ivadal;Myslee;N,N,6-Trimethyl-2-(4-methylphenyl)imidazo[1,2-a]pyridine-3-acetamide L-(+)-Tartrate (2:1);N,N-dimethyl-2-[6-methyl-2-(4-methylphenyl)imidazo[1,2-a]pyridin-3-yl]acetamide 2,3-dihydroxybutanedioate (2:1);Niotal;SL 800750-23N;Stilnoct;Stilnox;Stimox;Sumenan;Zolpidem L-(+)-hemitartrate;
- Molecular Formula:2(C19H21N3O).C4H6O6
- Molecular Weight:764.86
- CAS Registry Number:99294-93-6
- EINECS:200-659-6
- Melting Point:196oC /Zolpidem/
- Water Solubility:
Other Product
- 5108-94-1/(16S,17R)-3-methoxy-13,16-dimethyl-7,8,9,11,12,14,15,17-octahydro-6H-cyclopenta[a]phenanthrene-16,17-diol
- 19889-54-4/2-bromo-N-(2,5-dibromo-4-chlorophenyl)acetamide
- 16087-30-2/N,N'-Bis(4-oxo-4-phenylbutylidene)-1,2-ethanediamine
- 189124-60-5/3,5,9-Trioxa-4-phosphapentacos-10-en-1- aminium,7-[(1Z)-1-hexadecenyloxy]-4- hydroxy-N,N,N-trimethyl-,inner salt,4-oxide,(7R,10Z)-
- 74161-24-3/3-(2,4-dihydroxyphenyl)-7-hydroxy-8-(3-methylbut-2-en-1-yl)-2,3-dihydro-4H-chromen-4-one
- 68742-84-7/3-acetyl-3,5,12-trihydroxy-10-methoxy-6,11-dioxo-1,2,3,4,6,11-hexahydrotetracen-1-yl 3-aminocyclohexanecarboxylate
- 7789-74-4/calcium fluorophosphate
- 62057-27-6/netagen
- 102207-62-5/9H-Pyrido[3,4-b]indolium,1,2-dimethyl-6-(trimethylammonio)-, chloride (1:2)
- 7475-48-1/5-(naphthalen-2-yl)pentanoic acid
- 55949-24-1/Giganteumgenin H
- 110-68-9/N-METHYLBUTYLAMINE
- 4434-05-3/COUMERMYCIN A1
- 15431-08-0/1,4,6,9-Tetraoxa-5-stannaspiro[4.4]nonane(8CI,9CI)
- 64742-44-5/Distillates(petroleum), clay-treated heavy naphthenic
- 4176-94-7/(1R,4aα,αR)-2,5,5,8aβ,α-Pentamethyl-2α,α-dihydroxydecalin-1β-butyric acid
- 181819-34-1/LK 453
- 673-37-0/N-(2-fluoroethyl)cyclohexanamine hydrochloride (1:1)
- 26173-34-2/1-(5-nitro-1,3-thiazol-2-yl)-3-prop-2-en-1-ylurea
- 99294-93-6/Zolpidem tartrate
- 37172-02-4/DIHYDROAMBRATE
- 30770-82-2/1,5-Imino-6,9-methano-1H-3-benzazepine-2,4(3H,5H)-dione(9CI)
- 64703-88-4/b-D-Glucopyranoside,[(1S,4aS,6S,7R,7aS)-1,4a,5,6,7,7a-hexahydro-6-hydroxy-7-(hydroxymethyl)-1-(3-methyl-1-oxobutoxy)cyclopenta[c]pyran-4-yl]methyl6-O-b-D-glucopyranosyl- (9CI)
- 114886-97-4/Chromate(5-), [6-(acetylamino)-4-hydroxy- 3-[(2-hydroxy-3-nitro-5-sulfophenyl)azo]-2-naphthalenesulfonato (4-)][4-hydroxy-6-[(2-hydroxy-5-methylpheny l)azo]-3-[(2-hydroxy-3-nitro-5-sulfophen yl)azo]-2-naphthalenesulfonato(4-)]-, potassium sodium
- 85527-48-6/Ternifolin (germacrane)
- 154297-11-7/Benzamide,4-[(3R)-3-[[(2R)-2-(3,4-dihydroxyphenyl)-2-hydroxyethyl]amino]butyl]-
- 68957-66-4/N-[[4-[2-[4-(benzoxazol-2-yl)phenyl]vinyl]benzoyl]oxy]acetamidine
- 145131-40-4/1-[4,4-dimethyl-2-(1-methylindol-3-yl)pentyl]-3-(2,6-dipropan-2-ylphen yl)urea
- 75007-16-8/1-(4-acetyl-5-oxohexyl)-3,7-dimethyl-3,7-dihydro-1H-purine-2,6-dione
- 23541-50-6/Daunorubicin hydrochloride
