Trypsin inhibitor II(Bryonia dioica reduced) (9CI)(113482-90-9)
- Name: Trypsin inhibitor II(Bryonia dioica reduced) (9CI)
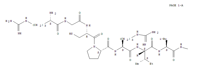
- Synonyms:Trypsininhibitor III (Cucurbita maxima seed reduced),2-glycine-9-L-arginine-12-L-arginine-19-glycine-23-L-glutamine-24-L-lysine-25-L-asparagine-;Glycine,L-arginylglycyl-L-cysteinyl-L-prolyl-L-arginyl-L-isoleucyl-L-leucyl-L-methionyl-L-arginyl-L-cysteinyl-L-lysyl-L-arginyl-L-a-aspartyl-L-seryl-L-a-aspartyl-L-cysteinyl-L-leucyl-L-alanylglycyl-L-cysteinyl-L-valyl-L-cysteinyl-L-glutaminyl-L-lysyl-L-asparaginylglycyl-L-tyrosyl-L-cysteinyl-
- Molecular Formula:C127H217 N45 O38 S7
- Molecular Weight:
- CAS Registry Number:113482-90-9
- EINECS:
- Melting Point:
- Water Solubility:
Other Product
- 142808-59-1/1,1-Dimethyl-4-oxo-3,5-bis(3-phenyl-2-propenylidene)piperidinium iodid e
- 685888-92-0/3-acetyl-5-ethyl-2-hydroxy-1,6-diphenylpyridin-4(1H)-one
- 5284-07-1/Phosphinic acid, dimethyl-, 1,4-butanediyl ester
- 68611-37-0/1,3-Propanediol, 2-ethyl-2-(hydroxymethyl)-, polymer with 1,3-diisocyanatomethylbenzene and alpha,alpha-((1-methylethylidene)di-4,1-phenylene)bis(omega-hydroxypoly(oxy(methyl-1,2-ethanediyl))), hydroxy-terminated
- 96470-92-7/Castor oil, dehydrated, polymer with linseed oil, maleic anhydride and rosin
- 24600-88-2/1-(4-aminophenyl)-4,5-dihydro-1H-pyrazol-3-amine dihydrochloride
- 148939-61-1/outer surface protein D
- 2122-26-1/19,21-Epoxy-15,16-dimethoxy-1-acetylaspidospermidin-17-ol
- 1704-70-7/3-methyl-4-(morpholin-4-yl)-2,2-diphenylbutanenitrile
- 76188-64-2/Thiocyanic acid,esters,methylene ester,mixt. with sulfonylbis[trichloromethane]
- 117875-77-1/Sulfuric acid, mono-C10-16-alkyl esters, compds. with triethanolamine
- 100278-51-1/ethyl 4-[(4-methoxybenzoyl)amino]benzoate
- 90042-35-6/[1,2,4]Triazolo[4,3-a]quinoxaline-1,4(2H,5H)-dione,2-acetyl-7-chloro-5-propyl-
- 78604-24-7/4-[(2E)-3-(2-chloropropyl)triaz-2-en-1-yl]benzonitrile
- 385-16-0/benzo[a]phenanthro[9,10-c]tetracene
- 93858-58-3/4-[4,5-dihydro-4-[3-[5-hydroxy-3-methyl-1-(4-sulphophenyl)-1H-pyrazol-4-yl]allylidene]-3-methyl-5-oxo-1H-pyrazol-1-yl]benzenesulphonic acid, compound with triethylamine
- 166546-21-0/N,N-bis(2-chloroethyl)-4-(6-{2-[6-(4-methylpiperazin-1-yl)-1H-benzimidazol-2-yl]ethyl}-1H-benzimidazol-2-yl)aniline
- 94232-26-5/(4-Aminophenyl)arsonic acid, compound with piperazine (1:1)
- 113482-90-9/Trypsin inhibitor II(Bryonia dioica reduced) (9CI)
- 156065-07-5/Carbonohydrazonicchloride fluoride (9CI)
- 106068-87-5/Benzothiazolium, 5-chloro-2-[[5-[(5-chloro- 1,3-diethyl-1,3-dihydro-2H-benzimidazol-2-ylidene )ethylidene]-3-ethyl-4-oxo-2-thiazolidinylidene]methy l]-3-ethyl-, iodide
- 1139-83-9/3-HYDROXY-6H-DIBENZO[B,D]PYRAN-6-ONE
- 6487-05-4/4-Hydroxy-6-[[3-[(2-hydroxy-3-nitro-5-sodiosulfophenyl)azo]-2,4-dihydroxyphenyl]azo]-3-[(4-nitrophenyl)azo]naphthalene-2-sulfonic acid sodium salt
- 30134-52-2/hex-5-en-2-ylbenzene
- 6599-36-6/(5E)-2-[4-(4-chlorophenyl)piperazin-1-yl]-5-(4-hydroxybenzylidene)-1,3-thiazol-4(5H)-one
- 53255-86-0/2,3,4,5-tetrabromothieno[2,3-b]thiophene
- 7067-18-7/prop-2-en-1-yl 2-{2-[4-(hexyloxy)phenyl]-3-[hydroxy(2-methylimidazo[1,2-a]pyridin-3-yl)methylidene]-4,5-dioxopyrrolidin-1-yl}-4-methyl-1,3-thiazole-5-carboxylate
- 10163-09-4/5-[(acetyloxy)methyl]-2-oxohexahydro-3aH-pyrano[3,2-d][1,3]oxazole-6,7-diyl diacetate
- 23252-62-2/ethylenebis(trimethylammonium) dichloride
- 90529-45-6/Phosphorous acid,tris(2-hydroxy-C26-50-alkyl) esters
