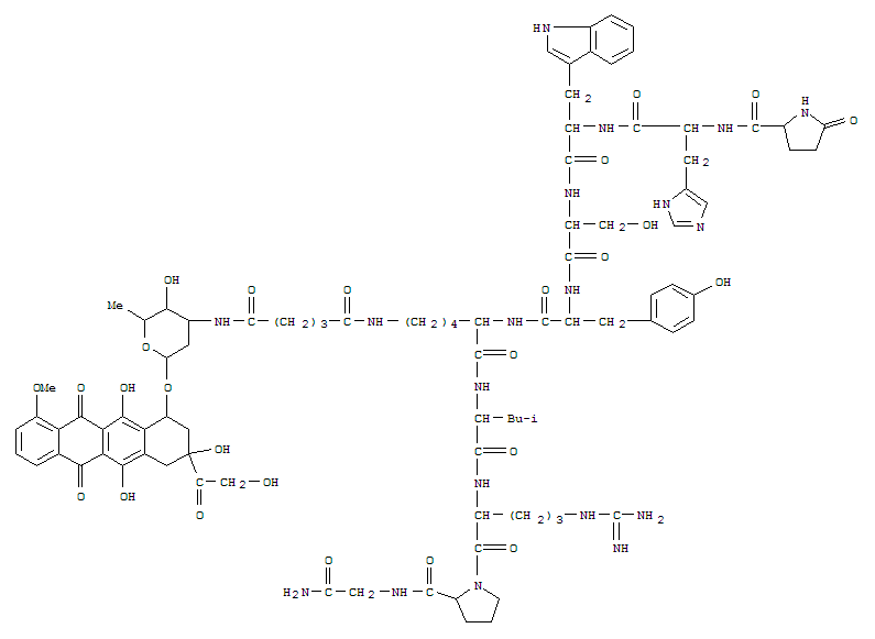
T 107(149665-71-4)
- Name: T 107
- Synonyms:Luteinizinghormone-releasing factor (pig),6-[N6-[5-[[2,3,6-trideoxy-1-O-[1,2,3,4,6,11-hexahydro-3,5,12-trihydroxy-3-(hydroxyacetyl)-10-methoxy-6,11-dioxo-1-naphthacenyl]-a-L-lyxo-hexopyranos-3-yl]amino]-1,5-dioxopentyl]-D-lysine]-,(1S-cis)-; T 107
- Molecular Formula:C91H117 N19 O26
- Molecular Weight:1893.01
- CAS Registry Number:149665-71-4
- EINECS:
- Melting Point:
- Water Solubility:
Other Product
- 104628-24-2/9-[(3-methylbenzyl)amino]-1,2,3,4-tetrahydroacridin-1-ol
- 602-94-8/Pentafluorobenzoic acid
- 3337-46-0/2-phenyl-1,3-di(pyridin-4-yl)propan-2-ol
- 109985-94-6/b-D-Glucopyranoside, (3b,9b,10a,11a,24E)-3-(b-D-glucopyranosyloxy)-11-hydroxy-9-methyl-19-norlanosta-5,24-dien-26-yl2-O-b-D-glucopyranosyl- (9CI)
- 102043-61-8/N-(2-morpholin-4-ylethyl)-N-phenylaniline hydrochloride
- 35364-79-5/3,4-DICHLOROPHENETHYL ALCOHOL
- 22569-74-0/Silicic acid (H2SiO3),lead salt (8CI,9CI)
- 22048-97-1/Leptomerine
- 182061-89-8/2-Naphthalenesulfonic acid, 6-amino-5-4-4-bis(2-hydroxyethyl)amino-6-(2-sulfoethyl)amino-1,3,5-triazin-2-ylamino-2-sulfophenylazo-4-hydroxy-, trisodium salt
- 6277-25-4/1,3-bis[3-(diethylamino)propyl]thiourea
- 381242-61-1/1-(4-NITRO-2-TRIFLUOROMETHYLPHENYL)-PIPERAZINE
- 68298-15-7/N-[2-[(2-Hydroxyethyl)(1-oxododecyl)amino]ethyl]-N-(2-hydroxy-3-sulfopropyl)glycine disodium salt
- 42054-95-5/3-chloro-N-[2-(2,6-dimethylphenoxy)ethyl]-N-methylpropan-1-amine hydrochloride
- 3638-04-8/2,4-Dichloro-6-methoxy-1,3,5-triazine
- 134186-18-8/1,4:3,6-dianhydro-2-deoxy-5-O-nitro-2-{4-[(6-oxo-1,6-dihydropyridin-3-yl)carbonyl]piperazin-1-yl}-L-iditol hydrochloride
- 54954-83-5/2-Oxepanone, polymer with 1,1-methylenebis4-isocyanatocyclohexane and 2,2-oxybisethanol
- 68921-83-5/dimethyl[3-[(1-oxooctadecyl)amino]propyl][2-oxo-2-(tetradecyloxy)ethyl]ammonium chloride
- 130839-93-9/1,3,5-tris[2-(methylamino)ethyl]-1,3,5-triazinane-2,4,6-trione
- 1403-92-5/LUTEOMYCIN
- 149665-71-4/T 107
- 76708-54-8/9-({2-methoxy-4-[(methylsulfonyl)amino]phenyl}amino)acridine-4-carboxamide
- 696-33-3/Iodoxybenzene
- 23339-45-9/2'-deoxyadenylyl-(3'-5')-2'-deoxyadenosine
- 55373-91-6/2-(1-Decylundecyl)-1,4-dimethylbenzene
- 64471-18-7/8-methyl-8-azabicyclo[3.2.1]oct-2-yl cyclobutyl(hydroxy)phenylacetate
- 24889-95-0/[(4-methoxyphenyl)amino]acetonitrile
- 85127-92-0/2-Propanol, 3-(tert-butylamino)-1-(6-(1-(1H-pyrazol-1-yl)vinyl)phenoxy )-
- 94021-22-4/2-(1-PIPERAZINYL)PYRIMIDINE DIHYDROCHLORIDE
- 63885-02-9/Zinc bis(2,3,5-trichlorobenzenethiolate)
- 93924-02-8/4,4'-(octahydro-4,7-methano-1H-indenediyl)bis[2,6-xylenol]
