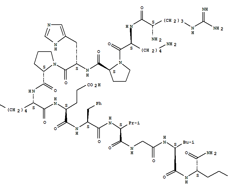
Substance P-relatedpeptide (Lampetra fluviatilis) (9CI)(154563-90-3)
- Name: Substance P-relatedpeptide (Lampetra fluviatilis) (9CI)
 - Synonyms:SubstanceP, 1a-endo-L-lysine-3-L-histidine-5-L-lysine-6-L-glutamic acid-8-L-valine-;L-Methioninamide, L-arginyl-L-lysyl-L-prolyl-L-histidyl-L-prolyl-L-lysyl-L-a-glutamyl-L-phenylalanyl-L-valylglycyl-L-leucyl-;Substance P-related peptide (Petromyzon marinus)
 - Molecular Formula:C66H108 N20 O14 S
 - Molecular Weight:
 - CAS Registry Number:154563-90-3
 - EINECS:
 - Melting Point:
 - Water Solubility:
 
	   Other Product
- 60659-36-1/3-[(2-hydroxydodecyl)methylamino]propane-1,2-diol
 - 93922-04-4/barium 4-dodecylphenolate
 - 94891-41-5/Glycine, N-((C10-22-branched and linear alkyl and naphthenyl)sulfonyl) derivs., calcium salts (2:1)
 - 156680-11-4/Pyrrhocoris defensin
 - 138404-98-5/2-(decanoylamino)-1-[(decanoylamino)methyl]ethyl N-[(benzyloxy)carbonyl]glycinate
 - 21199-47-3/4-(1H-indol-2-yl)-1-[3-(trimethylammonio)propyl]pyridinium dibromide
 - 128156-78-5/Benzeneacetic acid, a-hydroxy-4-methyl-a-(4-methylphenyl)-,2-(2-chloroacetyl)hydrazide
 - 135086-92-9/3-benzylidenamino-5H-1,2,3-triazin(5,4b)indol-4-one
 - 54855-57-1/2-[(2-{[(5-methyl-1H-imidazol-4-yl)methyl]sulfanyl}ethyl)amino]pyrimidin-4(3H)-one dihydrochloride
 - 13283-91-5/3-ketooctanoic acid
 - 6622-72-6/2-{4-[(4-chlorophenyl)(phenyl)methyl]piperazin-1-yl}acetamide
 - 107283-02-3/heterochromatin-specific nonhistone chromosomal protein HP-1
 - 13189-00-9/Zinc methacrylate
 - 37312-43-9/Iron alloy,base,Fe 94-96,Ni 2.8-3.2,Cr 0.6-0.9,Mn 0.5-0.8,Si 0.2-0.4,Mo 0.2-0.3,C 0.1 (12KhN3MA)
 - 39877-86-6/1-(1-Cyclopentenyl)-2-methoxybenzene
 - 112242-42-9/argutone
 - 88570-90-5/Imidazo(1,2-a)pyridine-3-acetamide, 2-(5-chloro-2-thienyl)-6-methyl-
 - 140-77-2/3-Cyclopentylpropionic acid
 - 173356-78-0/Sesquimarocanol B
 - 154563-90-3/Substance P-relatedpeptide (Lampetra fluviatilis) (9CI)
 - 59112-43-5/Massa Estarinum 299
 - 221115-51-1/Spiro[4,10b-ethano-10bH-naphtho[1,2-b]pyran-2(3H),2'(3'H)-furan]-3'-ol,4,4',4a,5'-tetrahydro-8-methoxy-3,4',4a,5',5',7-hexamethyl-,(2S,3S,3'R,4R,4'S,4aR,10bR)-
 - 13350-71-5/PHOTOALDRIN
 - 67293-05-4/2-methyl-1-{3-[(naphthalen-1-ylcarbamoyl)oxy]propyl}piperidinium chloride
 - 90431-58-6/Magnesium, chloro glycine hydroxy oxo aluminum complexes
 - 107679-89-0/4-C-(4-chlorophenyl)-1,2,5-trideoxy-2-methyl-3,4-O-methylidene-5-(1H-1,2,4-triazol-1-yl)-L-arabinitol
 - 56948-12-0/2-[(4-aminophenyl)sulfanyl]-4,5-dimethoxyaniline
 - 905-62-4/2,5-BIS(1-NAPHTHYL)-1,3,4-OXADIAZOLE
 - 37971-99-6/1,1'-(9H-xanthene-2,7-diyl)bis[2-(dimethylamino)ethanone] dihydrochloride
 - 4766-56-7/2-Methyl-piperidin-3-ol
 
