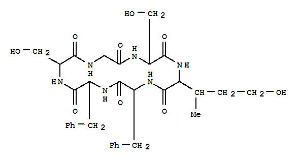
Stellarin C (9CI)(157110-10-6)
- Name: Stellarin C (9CI)
- Synonyms:1,4,7,10,13,16-Hexaazacyclooctadecane,cyclic peptide deriv.;Cyclo(5-hydroxy-L-alloisoleucyl-L-phenylalanyl-L-phenylalanyl-L-serylglycyl-L-seryl);Cyclo(glycyl-L-seryl-5-hydroxy-L-isoleucyl-L-phenylalanyl-L-phenylalanyl-L-seryl)
- Molecular Formula:C32H42 N6 O9
- Molecular Weight:
- CAS Registry Number:157110-10-6
- EINECS:
- Melting Point:
- Water Solubility:
Other Product
- 147994-21-6/pmd1+ protein
- 60246-63-1/1-phenyl-3-(3,4,5-trimethoxyphenyl)prop-2-en-1-one
- 6976-46-1/phenyl (2-chloroethyl)nitrosocarbamate
- 5559-72-8/1,3,2-Dioxaphospholane,2-[2-chloro-1-(chloromethyl)ethoxy]-4,5-dimethyl-
- 3294-60-8/phenyl(tribromomethyl)mercury
- 16192-07-7/PROPARGYL P-TOLUENESULFONATE
- 59326-15-7/4,7-Methanoisobenzofuran-1,3-dione, 4,5,6,7,8,8-hexachloro-3a,4,7,7a-tetrahydro-, polymer with 2,2-dimethyl-1,3-propanediol, 2,5-furandione and 1,2-propanediol
- 123774-68-5/2-Propenoic acid, 2-methyl-, polymer with 2-ethylhexyl 2-propenoate, N-(hydroxymethyl)-2-propenamide, methyl 2-methyl-2-propenoate and 2-methyl-2-[(1-oxo-2-propenyl) amino]-1-propanesulfonic acid
- 333754-36-2/Tesetaxel
- 5915-39-9/5-cyano-4-furan-2-yl-N-(2-methoxyphenyl)-2-methyl-6-(prop-2-en-1-ylsulfanyl)-1,4-dihydropyridine-3-carboxamide
- 35882-31-6/(23S)-Spirosta-5,25(27)-diene-1β,3β,23-triol
- 90686-13-8/4H-1-Benzopyran-4-one,3-[2,4-dihydroxy-3-(3-methyl-2-buten-1-yl)phenyl]-5,7-dihydroxy-6-(3-methyl-2-buten-1-yl)-
- 136634-88-3/(±)-1-(4-Chlorophenyl)-2-[4-(4-fluorobenzyl)-1-piperidinyl]ethanol hydrochloride
- 91696-70-7/Benzenesulfonic acid,C14-44-branched alkyl derivs., calcium salts, overbased
- 7066-55-9/N-[4-hydroxy-2-methyl-5-(1-methylethyl)phenyl]-2-nitrobenzenesulfonamide
- 62595-44-2/3,3'-Bi-1-cyclopropene
- 2103-91-5/2-AMINO-4-(P-TOLYL)THIAZOLE
- 158846-17-4/2(5H)-Furanone,4-[(1E)-2-[(1S,2S,4aR,4bS,8aS,10aR)-2-[(acetyloxy)methyl]tetradecahydro-2-hydroxy-4b,8,8,10a-tetramethyl-1-phenanthrenyl]ethenyl]-5-hydroxy-
- 157110-10-6/Stellarin C (9CI)
- 116989-79-8/{[4-(4-bromophenyl)-5-(6H-indolo[2,3-b]quinoxalin-6-ylmethyl)-4H-1,2,4-triazol-3-yl]sulfanyl}acetic acid
- 5185-77-3/N,N-Bis(2-chloroethyl)-p-(1,3,2-dithiarsolan-2-yl)aniline
- 6947-28-0/1,1-bis(4-methylphenyl)-2-(2,4,6-trinitrophenyl)hydrazine
- 133056-11-8/Tricyclo[6.3.1.02,5]dodecan-9-ol,1-[(2'-hydroxy-5,5'-di-2-propen-1-yl[1,1'-biphenyl]-2-yl)oxy]-4,4,8-trimethyl-,(1R,2S,5R,8S,9S)-
- 72989-59-4/(E)-N-ethoxy-1-(pyridin-3-yl)methanimine hydrochloride (1:1)
- 7145-73-5/N-(9-oxo-9H-fluoren-4-yl)methanesulfonamide
- 72284-55-0/3,5-Pyridinedicarboxylic acid, 1,4-dihydro-2,6-dimethyl-4-(3-nitrophen yl)-1-(phenylmethyl)-, diethyl ester
- 69012-47-1/Residues, zinc Larvik,secondary
- 6269-74-5/N-{4-[(4-amino-2-methylquinolin-6-yl)sulfamoyl]phenyl}acetamide
- 63195-25-5/3,4-dimethyl-7-(4-nitrobenzyl)-2H-pyrazolo[3,4-d]pyridazine
- 92411-99-9/O-(1-methyloctyl) propylthiocarbamate
