Current position:Home >Product >
Sperm-activatingpeptide d (Tripneustes gratilla egg jelly coat) (9CI)
Sperm-activatingpeptide d (Tripneustes gratilla egg jelly coat) (9CI)(126166-51-6)
- Name: Sperm-activatingpeptide d (Tripneustes gratilla egg jelly coat) (9CI)
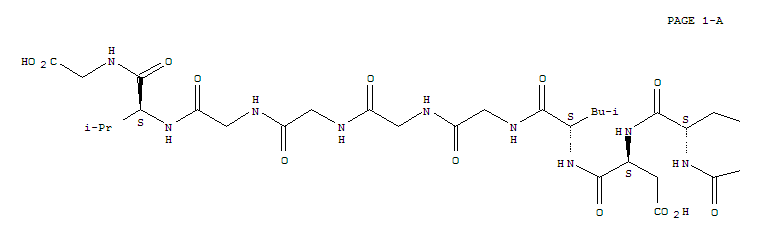
- Synonyms:Sperm-activatingpeptide H 1 (Hemicentrotus pulcherrimus egg jelly coat), 5-glycine-; Glycine,N-[N-[N-[N-[N-[N-[N-[N-(N-glycyl-L-phenylalanyl)-L-a-aspartyl]-L-leucyl]glycyl]glycyl]glycyl]glycyl]-L-valyl]-
- Molecular Formula:C36H54 N10 O13
- Molecular Weight:
- CAS Registry Number:126166-51-6
- EINECS:
- Melting Point:
- Water Solubility:
Other Product
- 6630-42-8/alpha-chloro-beta-imidazol-4(5)-ylpropionic acid
- 87173-94-2/Benzeneacetamide,3,4-dichloro-N-methyl-N- [(5R,7S,8S)-7-(1-pyrrolidinyl)-1-oxaspiro[4.5]- dec-8-yl]-,rel-(-)-
- 81743-94-4/ethyl 2-[4-(7-oxo-9-selena-8-azabicyclo[4.3.0]nona-1,3,5-trien-8-yl)ph enyl]propanoate
- 145865-87-8/methyl 2-[[(4-methoxyphenyl)methylideneamino]sulfamoyl]benzoate
- 51122-93-1/cyclohexyl (cyclohexyloxy)acetate
- 62568-43-8/disodium N,N'-[(2-hydroxy-5-nonylphen-1,3-ylene)bis(methylene)]bis[N-methylaminoacetate]
- 90059-59-9/4-phenyl-2-oxo-5-(2-(4-methylpiperazin-1-yl)acetyl)-1H-tetrahydropyrido(2,3-b)(1,4-)diazepine
- 128321-91-5/Phenanthro[2,1-b]furan-2-methanol,2,3,4,5-tetrahydro-9-hydroxy-7-methoxy-a,a-dimethyl- (9CI)
- 9048-62-8/ingitril
- 7231-17-6/dioxidanium; 4-(2-amino-1,3-thiazol-4-yl)-1,3-thiazol-2-amine; nickel; propanedioic acid
- 193410-88-7/1,4-Ethanonaphthalene-6,10(4H)-dione,5,9- bis[(benzoyloxy)methyl]-1,4a,5,8a-tetrahydro-5,- 9-dihydroxy-,(1R,4S,4aS,5S,8aR,9S)-rel-(-)-
- 29382-68-1/POLYVINYL HYDROGEN PHTHALATE
- 68410-98-0/Heavy naphtha hydrotreater deisohexanizer overhead liquid
- 11070-73-8/INSULIN
- 158511-62-7/Olean-12-en-28-oicacid, 16-hydroxy-3-[(2-O-sulfo-b-D-glucopyranosyl)oxy]-, (3b,16a)-
- 26270-60-0/2-({5-[(2E)-3-(4-fluorophenyl)prop-2-enoyl]-4,7-dimethoxy-1-benzofuran-6-yl}oxy)-N,N-dimethylethanaminium (2Z)-3-carboxyprop-2-enoate
- 41327-48-4/(2-PHENYLCARBAMOYL-PHENYL)-PHOSPHONIC ACID DIETHYL ESTER
- 41927-69-9/Tetradecyl decanoate
- 190382-30-0/Propanoic acid,2-methyl-,(4aS,5R,6S,7S,9E,- 11S,12aR,14R,15R,15aR,15bR)-4a,6,7,14,15- pentakis(acetyloxy)-2,3,4,4a,5,6,7,8,11,12,12a,13,- 14,15,15a,15b-hexadecahydro-12a-hydroxy-8,- 8,11,14-tetramethyl-2,12-dioxocyclopenta[11,- 12]cyclododeca[1,2-b]pyran-5-yl ester
- 126166-51-6/Sperm-activatingpeptide d (Tripneustes gratilla egg jelly coat) (9CI)
- 19788-35-3/Methyl 5-methylisoxazole-3-carboxylate
- 61325-77-7/2-ethyl-8-methyl-4-(4-methylpiperazin-1-yl)-10H-thieno[2,3-b][1,5]benzodiazepine
- 59886-41-8/2,5-bis(aziridin-1-yl)-3,6-di(morpholin-4-yl)cyclohexa-2,5-diene-1,4-dione
- 42024-63-5/amino{[5-(2-methoxy-2-oxoethyl)-2-propoxybenzyl]sulfanyl}methaniminium chloride
- 27116-62-7/Spiro[[1]benzopyrano[2,3-c]pyrazole-4(1H),1'(3'H)-isobenzofuran]-3'-one,7-(diethylamino)-3-methyl-1-phenyl-
- 4-DEACETYL-3-DE(METHOXYCARBONYL)-4’-DEOXY-3-(((2-ETHOXY-1-(1H- INDOL-3-YLMETHYL)-2-OXOETHYL)AMINO)CARBONYL)-, (3(S))- ">95273-83-9/VINCALEUKOBLASTINE, O4-DEACETYL-3-DE(METHOXYCARBONYL)-4’-DEOXY-3-(((2-ETHOXY-1-(1H- INDOL-3-YLMETHYL)-2-OXOETHYL)AMINO)CARBONYL)-, (3(S))-
- 127708-86-5/t-butyloxycarbonyl-3-fluoroglutamyl-glutamyl-valine
- 8056-21-1/equagesic
- 127414-58-8/1-(cyclohexylamino)-3-(1H-indol-4-yloxy)propan-2-ol
- 19330-29-1/cobalt(2+) ethanolate
