Current position:Home >Product >
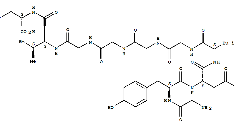
Sperm-activatingpeptide c (Heterocentrotus mammillatus egg jelly coat) (9CI)
Sperm-activatingpeptide c (Heterocentrotus mammillatus egg jelly coat) (9CI)(126166-58-3)
- Name: Sperm-activatingpeptide c (Heterocentrotus mammillatus egg jelly coat) (9CI)
- Synonyms:Sperm-activatingpeptide b (Echinometra mathaei type B egg jelly coat), 5-glycine-7-glycine-8-glycine-;L-Aspartic acid,N-[N-[N2-[N-[N-[N2-[N-[N2-(N-glycyl-L-tyrosyl)-L-asparaginyl]-L-leucyl]glycyl]glycyl]glycyl]glycyl]-L-isoleucyl]-
- Molecular Formula:C39H59 N11 O15
- Molecular Weight:
- CAS Registry Number:126166-58-3
- EINECS:
- Melting Point:
- Water Solubility:
Other Product
- 887-08-1/(1R)-1β-Isopropyl-3aβ,6-dimethyl-6β,8aβ-epoxydecahydroazulene-5α-ol
- 37064-31-6/Prodelphinidin T4
- 87415-50-7/N-{2-[(4-chlorophenyl)amino]-2-oxoethyl}-2-hydroxy-N,N-dimethyl-3-(naphthalen-1-yloxy)propan-1-aminium chloride
- 94888-13-8/2,3,6-trichloro-4-(2,3,4,6-tetrachlorophenoxy)phenol
- 126070-08-4/2-(2,3-dimethylphenyl)isoquinoline-1,3(2H,4H)-dione
- 70004-76-1/N-[(2R)-2-amino-2-carboxyethyl]-L-aspartic acid
- 53820-85-2/1H-inden-3-yl 4-nitrobenzoate
- 57081-28-4/[4-(4-chlorobenzyl)phenoxy]acetic acid
- 4255-94-1/2,5-diethoxy-4-(morpholin-4-yl)benzenediazonium hexafluorophosphate
- 18997-71-2/N-[2-(Dimethylamino)-1-methylethyl]carbamodithioic acid
- 138751-72-1/(2R,3R)-3-nitropentan-2-ol
- 94021-77-9/3-fluoro-alpha-methyl[1,1'-biphenyl]-4-acetamide
- 50691-95-7/(3R)-7-chloro-3-(1-hydroxyethyl)-5-phenyl-1,3-dihydro-1,4-benzodiazepin-2-one
- 53290-90-7/6-amino-4-({3-amino-4-[(4-{(1E)-1-[(diaminomethylidene)hydrazinylidene]ethyl}phenyl)carbamoyl]phenyl}amino)-1-propylquinolinium 4-methylbenzenesulfonate 4-methylbenzenesulfonic acid (1:1:1)
- 93348-38-0/Ocimum basilicum crispum, ext.
- 75213-01-3/chloro-oxo-(4-tert-butylphenyl)phosphanium
- 49558-04-5/pentyl pyridine-3-carboxylate
- 142674-36-0/3-[(6,6,7,7,8,8,9,9,10,10,11,11,12,12,13,13,13-heptadecafluorotridecanoyl)oxy]-4-(trimethylammonio)butanoate
- 126166-58-3/Sperm-activatingpeptide c (Heterocentrotus mammillatus egg jelly coat) (9CI)
- 27427-66-3/3,6-dichloropyridazine-4-carboxaMide
- 63906-07-0/Pyridinium,1,1'-[[1,1'-biphenyl]-4,4'-diylbis(1-oxo-2,1-ethanediyl)]bis[3-iodo-, dibromide(9CI)
- 18386-45-3/3-hydroxyandrost-4-ene-6,17-dione
- 61065-77-8/cis-4-(1,1-dimethylethyl)-alpha-methylcyclohexylmethanol
- 89-64-5/4-CHLORO-2-NITROPHENOL
- 25926-16-3/5-[(4,6-dichloro-1,3,5-triazin-2-yl)amino]-4-hydroxy-3-[(1-sulpho-2-naphthyl)azo]naphthalene-2,7-disulphonic acid
- 121759-24-8/piperazine-1,4-diylbis-1-phenylpropane-3,1-diyl diacetate
- 58327-13-2/3,3,5-trimethylcyclohexyl 2-(4-fluorophenoxy)propanoate
- 95356-82-4/Thiazolo(2,3-c)-1,2,4-triazol-5(6H)-one, 6-((4-fluorophenyl)methylene)-3-phenyl-
- 3659-04-9/Dithiophosphoric acid O,O-diethyl S-(tetrahydro-2-oxofuran-3-yl) ester
- 4927-26-8/3beta,17-dihydroxy-16alpha-methylpregn-5-en-20-one
