Current position:Home >Product >
		
		
	
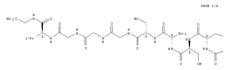
Sperm-activatingpeptide b (Strongylocentrotus nudus egg jelly coat) (9CI)
Sperm-activatingpeptide b (Strongylocentrotus nudus egg jelly coat) (9CI)(126166-55-0)
- Name: Sperm-activatingpeptide b (Strongylocentrotus nudus egg jelly coat) (9CI)
- Synonyms:Sperm-activatingpeptide H 1 (Hemicentrotus pulcherrimus egg jelly coat),3-L-serine-5-L-serine-; Glycine,N-[N-[N-[N-[N-[N-[N-[N-(N-glycyl-L-phenylalanyl)-L-seryl]-L-leucyl]-L-seryl]glycyl]glycyl]glycyl]-L-valyl]-;Sperm-activating peptide c (Echinometra mathaei egg jelly coat)
- Molecular Formula:C36H56 N10 O13
- Molecular Weight:
- CAS Registry Number:126166-55-0
- EINECS:
- Melting Point:
- Water Solubility:
 
	   Other Product
- 95499-84-6/3-carboxy-2,3-epoxypropionyl-leucylamido-(4-acetamido)butane
- 85128-10-5/1-(tert-butylamino)-3-{6-chloro-2-[(E)-2-(1H-imidazol-1-yl)ethenyl]-3-methylphenoxy}propan-2-ol
- 6148-20-5/Benztropine HBr
- 199594-59-7/2-(2,6-difluorophenyl)-1-[(2,6-difluorophenyl)methyl]benzoimidazole
- 111144-52-6/Poly(oxy-1,2-ethanediyl),a-[nonyl(2-propen-1-yl)phenyl]-w-hydroxy-
- 64197-44-0/(9S,9aS)-7,8,9,9a-Tetrahydro-9-(1-methylvinyl)-2H-furo[4,3,2-ef][2]benzoxepin-2-one
- 2939-53-9/2-(3-azabicyclo[3.2.2]non-3-yldisulfanyl)-1,3-benzothiazole
- 334-62-3/1-Fluoro-10-chlorodecane
- 8029-99-0/Paregoric
- 63677-41-8/14483-19-3
- 34775-65-0/3-[4-(8-chloro-10,11-dihydrodibenzo[b,f]thiepin-10-yl)piperazin-1-yl]propan-1-ol methanesulfonate (1:2)
- 5957-64-2/1-{2-[4-(4-chlorophenyl)-6,7-dihydrothieno[3,2-c]pyridin-5(4H)-yl]-2-oxoethyl}-3-cyclohexyl-1-(2-methylpropyl)urea
- 58197-49-2/titanium(4+) acrylate
- 76688-83-0/ganglioside T1
- 34392-54-6/2-methylhistamine
- 90218-52-3/Benzenesulfonic acid, hydroxymethyl-, reaction products with cresol, formaldehyde and urea
- 600-00-0/Ethyl 2-bromoisobutyrate
- 17710-95-1/1-(3-phenoxypropyl)-5-(2-phenylethyl)pyrimidine-2,4(1H,3H)-dione
- 718-64-9/1,1,1,3,3,3-HEXAFLUORO-2-PHENYL-2-PROPANOL
- 126166-55-0/Sperm-activatingpeptide b (Strongylocentrotus nudus egg jelly coat) (9CI)
- 543-39-5/7-OCTEN-2-OL, 2-METHYL-6-METHYLENE
- 573-09-1/3-[(4-amino-2-methylpyrimidin-5-yl)methyl]-5-(2-hydroxyethyl)-4-methylthiazolium hydrogen naphthalene-1,5-disulphonate
- 6984-52-7/D-Glucopyranuronicacid, 4-O-b-D-glucopyranosyl-
- 6885-57-0/AFLATOXIN M2
- 83492-92-6/4-{[2-(4-chlorophenyl)-2-methylpropoxy]methyl}-1-fluoro-2-(4-fluorophenoxy)benzene
- 101582-06-3/ANILINE, p-(5-PHENOXYPENTYLOXY)-
- 3482-63-1/1-METHOXYDODECANE
- 22139-54-4/(2S,3R)-2-dodecyl-3-methylbutanedioic acid
- 132746-07-7/sodium (5R)-5-[(1S)-1,2-dihydroxyethyl]-3-[(hydroxy{[2,5,7,8-tetramethyl-2-(4,8,12-trimethyltridecyl)-3,4-dihydro-2H-chromen-6-yl]oxy}phosphoryl)oxy]-4-oxo-4,5-dihydrofuran-2-olate (non-preferred name)
- 22623-49-0/carbonothioic acid, S-[[[(3,4-dimethoxyphenyl)methyl]amino]thioxomethyl] O-ethyl ester

 
               
       