Current position:Home >Product >
Sperm-activatingpeptide V (Brissus agassizi egg jelly coat reduced) (9CI)
Sperm-activatingpeptide V (Brissus agassizi egg jelly coat reduced) (9CI)(144313-67-7)
- Name: Sperm-activatingpeptide V (Brissus agassizi egg jelly coat reduced) (9CI)
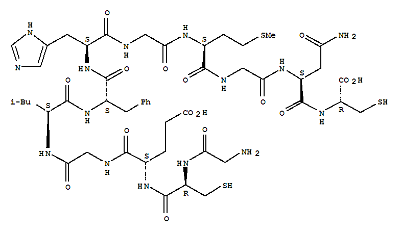
- Synonyms:L-Cysteine,N-[N2-[N-[N-[N-[N-[N-[N-[N-[N-(N-glycyl-L-cysteinyl)-L-a-glutamyl]glycyl]-L-leucyl]-L-phenylalanyl]-L-histidyl]glycyl]-L-methionyl]glycyl]-L-asparaginyl]-
- Molecular Formula:C49H73 N15 O16 S3
- Molecular Weight:
- CAS Registry Number:144313-67-7
- EINECS:
- Melting Point:
- Water Solubility:
Other Product
- 61832-54-0/4-piperidin-3-ylbenzene-1,2-diyl diacetate ethanedioate
- 71765-94-1/16 alpha-iodoestradiol
- 5754-13-2/1-[2-(2-methylphenyl)sulfanylethyl]-3-[6-[2-(2-methylphenyl)sulfanylethylcarbamoylamino]hexyl]urea
- 50840-28-3/2-(2-methyl-4-oxoquinazolin-3(4H)-yl)ethyl pyridine-3-carboxylate
- 82537-86-8/3-[2-[2-[6-[3-acetamido-4,5-dihydroxy-6-(hydroxymethyl)oxan-2-yl]oxy-5,5,8a-trimethyl-2-methylidene-decalin-1-yl]ethyl]-1,3-dimethyl-6-prop-1-en-2-yl-1-cyclohex-3-enyl]propanoic acid
- 67801-31-4/3-methyl-4-(3,5,6-trimethyl-3-cyclohexen-1-yl)-3-buten-2-one
- 136117-69-6/METHYL IMIDAZO[1,2-A]PYRIDINE-6-CARBOXYLATE
- 84423-89-2/2-[2-(ethenyloxy)ethyl]-5,6-bis(4-methoxyphenyl)-1,2,4-triazin-3(2H)-one
- 1002-28-4/3-Hexyn-1-ol
- 85743-61-9/2,2,3,4,4-pentachloro-3-butenoic acid
- 68785-02-4/[[[2-[(2-aminoethyl)amino]ethyl]amino]methyl]phosphonic acid, N,N'-bis(phosphonomethyl) derivative
- 92385-13-2/125533-00-8
- 68936-38-9/7-Methylzonisamide
- 74623-10-2/hemoglobin Cubujuqui
- 377-93-5/1,2-DICHLOROTETRAFLUOROCYCLOBUT-1-ENE
- 60067-58-5/sodium hydrogen 3-[[2-[(3-sulphonatopropyl)amino]phenyl]dithio]propane-1-sulphonate
- 83010-56-4/3-(1-Cyclopropylmethyl-1,2,5,6-tetrahydropyridin-3-yl)phenol fumarate
- 7682-90-8/(7-bromo-2,4-dimethyl-1,5,9-triazabicyclo[4.3.0]nona-2,4,6,8-tetraen-8 -yl)oxy-diethoxy-sulfanylidene-phosphorane
- 68585-32-0/PLATINUM-CYCLOVINYLMETHYLSILOXANE COMPLEX
- 144313-67-7/Sperm-activatingpeptide V (Brissus agassizi egg jelly coat reduced) (9CI)
- 83982-96-1/Win 46834
- 25790-35-6/1-(2-FURYL)-1,3-BUTANEDIONE
- 82498-57-5/D 1 (polyurethane)
- 61555-00-8/Pseudourea, 1,3-dimethyl-2-((3,4-dihydro-3-(5-nitro-o-tolyl)-4-oxoquinazolin-2-yl)methyl)-2-thio-, monohydrobromide
- 99728-83-3/1-({2-[ethyl(2-hydroxyethyl)amino]ethyl}amino)-4-methyl-9H-thioxanthen-9-one hydrochloride
- 155857-43-5/N-(4-fluorophenyl)-4-methoxy-7-(3-methoxy-8-methyl-8,9,10,10a-tetrahydro-7H-furo[4,3,2-fg][3]benzazocin-7-yl)-1-benzothiophen-3-amine 1,1-dioxide
- 3841-12-1/Penicillin G, compd. with alpha,alpha-(ethylenediimino)di-o-cresol
- 56348-69-7/2-{bis[(2E)-3,7-dimethylocta-2,6-dien-1-yl]amino}ethanol
- 5272-73-1/N-[(E)-(2-chloro-5-nitrophenyl)methylidene]-4-methyl-3-nitroaniline
- 17197-60-3/3-Isopropyl-3-phenylazetidin-2-one
