Current position:Home >Product >
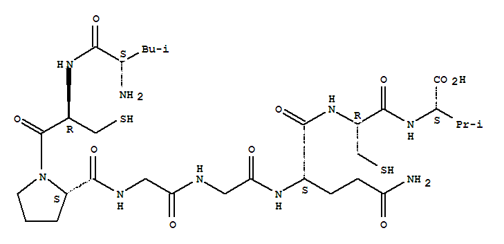
Sperm-activatingpeptide F (Glyptocidaris crenularis egg jelly coat reduced) (9CI)
Sperm-activatingpeptide F (Glyptocidaris crenularis egg jelly coat reduced) (9CI)(117788-32-6)
- Name: Sperm-activatingpeptide F (Glyptocidaris crenularis egg jelly coat reduced) (9CI)
- Synonyms:Sperm-activatingpeptide A (Glyptocidaris crenularis egg jelly coat reduced),1-de-L-lysine-7-L-glutamine-; Des-lysine1-(glutamine7)-SAP-IIB (Glyptocidariscrenularis reduced); L-Valine,N-[N-[N2-[N-[N-[1-(N-L-leucyl-L-cysteinyl)-L-prolyl]glycyl]glycyl]-L-glutaminyl]-L-cysteinyl]-
- Molecular Formula:C31H53 N9 O10 S2
- Molecular Weight:
- CAS Registry Number:117788-32-6
- EINECS:
- Melting Point:
- Water Solubility:
Other Product
- 1528-42-3/ethyl 4-acetylphenylacetate
- 40737-58-4/SKF 502
- 191-28-6/Xantheno[2,1,9,8-klmna]xanthene
- 72626-61-0/4-METHYLUMBELLIFERYL-BETA-D-CELLOBIOPYRANOSIDE
- 51862-24-9/Chloroacetylferrocene
- 84744-77-4/phosphohomocyclocreatine
- 87871-69-0/R 4898
- 100-11-8/4-Nitrobenzyl bromide
- 92593-91-4/16-hydroxycleroda-3,13(14)-dien-15,16-olide
- 36431-79-5/4-benzyl-N-methyl-N-{2-[methyl(2-phenylethyl)amino]ethyl}piperidine-1-carboxamide 2-hydroxypropane-1,2,3-tricarboxylate (1:1)
- 11018-89-6/OUABAIN OCTAHYDRATE
- 84-76-4/Dinonyl phthalate
- 132774-46-0/5-ethyl-1-benzyloxymethyl-6-(phenylthio)uracil
- 51677-43-1/2-methyl-3-phenyl-2,3-dihydro-1-benzofuran
- 1901-26-4/3-methyl-4-phenyl-3-buten-2-one
- 2492-23-1/(2,4-DICHLOROBENZYL)TRIPHENYLPHOSPHONIUM CHLORIDE
- 6177-12-4/1-[(3,5-dichloro-4-methoxyphenyl)carbonyl]-4-[4-(2,5-dimethyl-1H-pyrrol-1-yl)-2-nitrophenyl]piperazine
- 69781-93-7/1-(2-(o-tolyloxy)ethyl)hydrazine
- 17626-59-4/sodium 5-(1-cyclohexen-1-yl)-5-ethylbarbiturate
- 117788-32-6/Sperm-activatingpeptide F (Glyptocidaris crenularis egg jelly coat reduced) (9CI)
- 127040-35-1/6,11-dihydropyrano[3,2-a]carbazol-3(5H)-one
- 97467-82-8/2-Butyne-1,4-diol, manuf. of, by-products from
- 39083-23-3/2,3,3-trichloro-1-butene
- 70892-33-0/Formaldehyde, reaction products with m-phenylenediamine and sulfur
- 71079-22-6/ethyl 2-[cyclohexyl(2-methylquinolin-4-yl)carbamimidamido]-1,3-thiazole-4-carboxylate
- 127906-41-6/2-((2-((Methylamino)methyl)phenyl)thio)-1,4-benzenediol (Z)-2-butenedi oate (1:1) (salt)
- 90989-78-9/Brain, ext., deproteinated
- 108433-95-0/Magainin II
- 107473-04-1/esperamicin D
- 7097-06-5/Oxyavicine
