Current position:Home >Product >
Sperm-activatingpeptide C (Glyptocidaris crenularis egg jelly coat reduced) (9CI)
Sperm-activatingpeptide C (Glyptocidaris crenularis egg jelly coat reduced) (9CI)(117788-29-1)
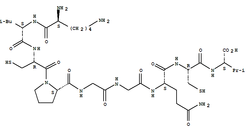
- Name: Sperm-activatingpeptide C (Glyptocidaris crenularis egg jelly coat reduced) (9CI)
- Synonyms:Sperm-activatingpeptide A (Glyptocidaris crenularis egg jelly coat reduced), 7-L-glutamine-;Glutamine7-SAP-IIB (Glyptocidaris crenularis reduced); L-Valine,N-[N-[N2-[N-[N-[1-[N-(N-L-lysyl-L-leucyl)-L-cysteinyl]-L-prolyl]glycyl]glycyl]-L-glutaminyl]-L-cysteinyl]-
- Molecular Formula:C37H65 N11 O11 S2
- Molecular Weight:
- CAS Registry Number:117788-29-1
- EINECS:
- Melting Point:
- Water Solubility:
Other Product
- 3691-21-2/hexahydro-alpha,alpha-diphenyl-1H-azepine-1-butyramide
- 63316-33-6/dipotassium 3,3'-sulphonylbis(benzenesulphonate)
- 23367-86-4/(3S,3aα,7aα,9aβ)-Dodecahydro-5α,7α-dihydroxy-4aβ,8α-dimethyl-3α-(1-piperidinylmethyl)azuleno[6,5-b]furan-2-one
- 104765-14-2/b-D-Mannopyranoside,O-(1R)-4-C-acetyl-6-deoxy-2,3-O-methylene-D-galactopyranosylidene-(1®3-4)-2-O-(1-oxopropyl)-a-L-lyxopyranosylO-2,6-dideoxy-4-O-(3,5-dichloro-4-hydroxy-2-methoxy-6-methylbenzoyl)-b-D-arabino-hexopyranosyl-(1®4)-O-2,6-dideoxy-D-arabino-hexopyranosylidene-(1®3-4)-O-2,6-dideoxy-3-C-methyl-b-D-arabino-hexopyranosyl-(1®3)-O-6-deoxy-4-O-methyl-b-D-galactopyranosyl-(1®4)-2,6-di-O-methyl- (9CI)
- 73070-41-4/1,7-Naphthalenedisulfonic acid, 5-hydroxy-4-[[(6-hydroxy- 2-naphthalenyl)sulfonyl]amino]-, coupled with diazotized aniline, o-and p-toluidine, sodium salts
- 110592-52-4/3-(4-bromophenyl)-1-(4-methylpyridin-2-yl)pyrrolidine-2,5-dione
- 139883-34-4/ANF (4-28), Leu(8,18)-Ile(12)-Ala(20)-MePhe(26)-Tyr(28)-Pro(29)-
- 62906-36-9/1-((Propylthio)methyl)-1,2-dicarbadodecaborane(12)
- 19423-72-4/see P,P-Diamido-P'-thiodiphosphoric(III,V) acid
- 175178-79-7/11,11'-Bi-5H-quindoline,5,5'-dimethyl-
- 52235-18-4/1-[2-[4-[(Z)-1-(4-Methoxyphenyl)-2-nitro-2-phenylethenyl]phenoxy]ethyl]pyrrolidine
- 60537-25-9/6-methoxycyclohexane-1,2,3,4,5-pentol
- 70415-59-7/N-nitrosomethyl-(3-hydroxypropyl)amine
- 112927-19-2/2-bromo-2-cycloundecenyl camphanate
- 9025-01-8/Decarboxylase,aconitate
- 154752-88-2/Unibix W
- 1420-08-2/desacetamidocolchicine
- 1341-88-4/Blue 1
- 36374-99-9/2-ethylhexyl 4-amino-3,5,6-trichloro-pyridine-2-carboxylate
- 117788-29-1/Sperm-activatingpeptide C (Glyptocidaris crenularis egg jelly coat reduced) (9CI)
- 64070-78-6/2-[(dimethylcarbamoyl)oxy]-N,N,N-trimethyl-5-pentylanilinium iodide
- 7460-34-6/4-benzoyl-1-methylpyrrolidine-2,3-dione
- 16722-46-6/N-[(E)-quinolin-3-ylmethylidene]quinolin-4-amine
- 848-76-0/3-(2-bromo-6,11-dihydrodibenzo[b,e]thiepin-11-yl)-N,N-dimethylpropan-1-amine hydrochloride
- 64543-61-9/Phenanthro[4,3-d]-1,3-dioxole-5-carboxylicacid, 10-hydroxy-8-methoxy-
- 249-03-6/Anthra[2,3-b]benzofuran(6CI,7CI,8CI,9CI)
- 101831-65-6/(2-methylpiperidin-1-yl)(naphthalen-2-yl)methanone
- 29140-79-2/4-methylpiperazine-1-carbothioic 10H-phenothiazine-10-carboxylic thioanhydride
- 14663-48-0/ethyl (4-oxoquinazolin-3(4H)-yl)imidoformate
- 158631-60-8/(8-chloro-4-oxo-3,4-dihydrocinnolin-2(1H)-yl)acetic acid hydrochloride
