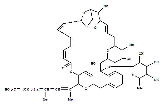
Sorangicin A,21-O-(6-deoxy-b-D-glucopyranosyl)-,(39E,41E)- (9CI)(119324-32-2)
- Name: Sorangicin A,21-O-(6-deoxy-b-D-glucopyranosyl)-,(39E,41E)- (9CI)
- Synonyms:9,13-Epoxy-23,26-etheno-2,5-methano-2H,5H-furo[2,3-l][1,4,14]trioxacyclotritriacontin,sorangicin A deriv.; Sorangioside C4
- Molecular Formula:C53H76 O15
- Molecular Weight:
- CAS Registry Number:119324-32-2
- EINECS:
- Melting Point:
- Water Solubility:
Other Product
- 83223-83-0/2-(2,4-dichlorophenyl)-1-methoxy-1-(1H-1,2,4-triazol-1-yl)propan-2-ol
- 40716-92-5/1,4-bis[(2-bromoethyl)amino]butane-2,3-diol
- 30850-72-7/R 2105
- 5053-06-5/fenspiride
- 69655-06-7/9-(3-amino-3-deoxypentofuranosyl)-3,9-dihydro-6H-purin-6-one
- 64425-95-2/1-{[4-(aziridin-1-yl)-3,5-dinitrophenyl]sulfonyl}aziridine
- 789-61-7/6-THIO-2'-DEOXYGUANOSINE
- 67050-67-3/5-[1-(Butylthio)ethyl]-5-ethyl-2-sodiothio-4,6(1H,5H)-pyrimidinedione
- 148260-92-8/1,4-bis(4-methoxyphenyl)-3-(3-phenylpropyl)-2-azetidinone
- 87641-24-5/2'-methylspiro[bicyclo[2.2.1]heptane-2,5'-[1,3]dioxane]
- 6333-80-8/{2-[4-(2-carboxyethyl)phenyl]-2-oxoethylidene}diazenium
- 68198-20-9/4-benzyl-4-[3-(dimethylamino)propoxy]cycloheptanone
- 73826-26-3/4-({1-methyl-2-[3-(trifluoromethyl)phenyl]ethyl}amino)-4-oxobutanoic acid
- 119324-32-2/Sorangicin A,21-O-(6-deoxy-b-D-glucopyranosyl)-,(39E,41E)- (9CI)
- 29847-20-9/Methyl 2-deoxy-2-(3-methyl-3-nitrosoureido)-α-D-glucopyranoside
- 484-43-5/ASP-ARG-VAL-TYR-VAL-HIS-PRO-PHE-HIS-LEU
- 78266-03-2/N,N-diethyl-2-[(3-methyl-2-phenylhexanoyl)oxy]ethanaminium chloride
- 34201-15-5/chloroacetyl coenzyme A
- 27590-07-4/Imidodiphosphorous acid(8CI,9CI)
- 19764-58-0/N2,N2-dimethylpropane-1,2-diamine
- 78542-60-6/trans-5-Fluorocyclophosphamide
- 124530-41-2/Cyclopenta[5,6]naphtho[1,2-c]pyran-2(4H)-one,7-acetyl-7-(acetyloxy)-11-chloro-4a,4b,5,6,6a,7,8,9,9a,9b-decahydro-9-hydroxy-4a,6a-dimethyl-,(4aR,4bS,6aS,7R,9R,9aS,9bR)-
- 67906-15-4/Silver(1+), (1,2-propanediamine-kappaN,kappaN)-, bis(cyano-kappaC)aurate(1-)
- 6709-82-6/cyclic 2-(1,2-ethanediyl mercaptole) ;;
- 73845-35-9/(disulfanediyldibenzene-2,1-diyl)bis[(4-benzylpiperazin-1-yl)methanone] dihydrochloride
- 79786-08-6/tellimagrandin I
- 6575-07-1/2-CHLORO-6-NITROBENZONITRILE
- 87140-31-6/Somatomedin,basic
- 16485-47-5/sodium [N-[2-[bis(carboxymethyl)amino]ethyl]-N-(2-hydroxyethyl)glycinato(3-)]ferrate(1-)
- 83355-72-0/(4-((6-Deoxy-alpha-L-mannopyranosyl)oxy)phenyl)(4-nitrophenyl)methanon e
