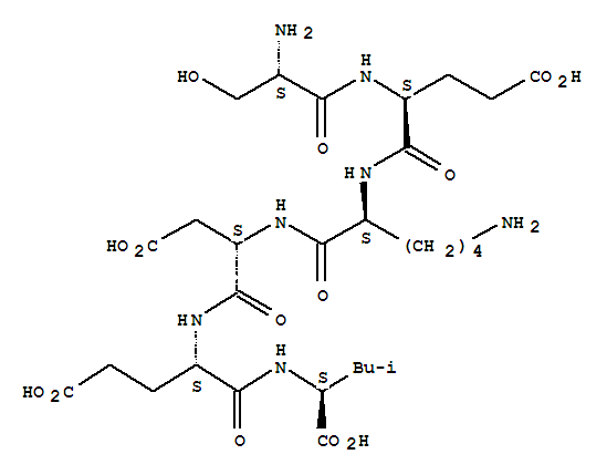
SEKDEL sequence(123924-38-9)
- Name: SEKDEL sequence
- Synonyms:L-Leucine,N-[N-[N-[N2-(N-L-seryl-L-a-glutamyl)-L-lysyl]-L-a-aspartyl]-L-a-glutamyl]-; 11: PN: US20050198712 SEQID: 11 unclaimed sequence; 18: PN:US6846968 SEQID: 18 unclaimed sequence; 19: PN: WO2009158694 SEQID: 28unclaimed protein; 1: PN: WO0152886 SEQID: 1 claimed sequence; 20: PN:WO9964583 SEQID: 20 claimed protein; 21: PN: US6194560 SEQID: 3 unclaimedsequence; 21: PN: WO2008054612 SEQID: 21 unclaimed sequence; 21: PN:WO2009048133 SEQID: 21 unclaimed protein; 22: PN: WO2007149657 SEQID: 21unclaimed protein; 22: PN: WO2010003235 SEQID: 4 unclaimed sequence; 23: PN:WO2007087567 SEQID: 20 unclaimed protein; 25: PN: US20070118934 SEQID: 4unclaimed sequence; 28: PN: WO2009158716 SEQID: 28 unclaimed protein; 2: PN:US20060253935 SEQID: 2 unclaimed sequence; 35: PN: WO2004074491 SEQID: 35claimed sequence; 39: PN: US20020088024 SEQID: 37 claimed sequence; 3: PN:US20090193541 SEQID: 4 unclaimed protein; 3: PN: WO0183529 SEQID: 4 unclaimedsequence; 3: PN: WO2009059422 SEQID: 7 unclaimed protein; 40: PN: WO2009152285SEQID: 52 unclaimed protein; 4: PN: WO0230984 PAGE: 22 unclaimed sequence; 52:PN: WO2006098952 SEQID: 38 unclaimed sequence; 532: PN: WO2007020198 SEQID: 532unclaimed sequence; 62: PN: US20060015969 SEQID: 4 unclaimed sequence; 64: PN:WO2006014316 SEQID: 63 unclaimed sequence; 6: PN: WO2007058140 SEQID: 6unclaimed protein; 708: PN: WO2008095033 SEQID: 474 unclaimed protein; 7: PN:CN1772902 PAGE: 5 unclaimed sequence; 94: PN: US20030017149 SEQID: 93 unclaimedsequence; 98: PN: WO2007044115 SEQID: 4 unclaimed sequence; PN: DE19816141SEQID: 10 unclaimed protein
- Molecular Formula:C29H49 N7 O14
- Molecular Weight:719.74
- CAS Registry Number:123924-38-9
- EINECS:
- Melting Point:
- Water Solubility:
Other Product
- 72142-97-3/8-methoxythionepsoralen
- 84642-62-6/3,4-dihydro-2,5-dipropyl-2H-pyran-2-methanol
- 75348-40-2/6-(2-Diethylaminoethoxy)-N-(o-methoxyphenyl)nicotinamide hydrochloride
- 6091-50-5/D-PIPERITONE
- 93755-77-2/4-Demethyl Tranilast
- 127906-33-6/Phenol,3-[[2-[(methylamino)methyl]phenyl]- thio]-
- 64550-26-1/Gastropulgit
- 145234-87-3/3-carbamoyl-1-({(E)-[4-(dimethylamino)phenyl]methylidene}amino)-2-methylpyridinium perchlorate
- 62919-51-1/2-{2-[(4-bromophenyl)sulfonyl]hydrazino}-N-hydroxy-2-oxoacetamide
- 67026-44-2/2-tert-butyl-1-cyano-3-(2,6-dimethoxypyridin-3-yl)guanidine
- 68339-76-4/bis{(E)-amino[(quinolin-2-ylmethyl)imino]methanaminium} sulfate
- 17304-24-4/5α-Olean-12-ene-3β,16α,21β,22α,28-pentol 21,22-dibenzoate
- 607-01-2/ETHYLDIPHENYLPHOSPHINE
- 95568-41-5/ALPHA2-MACROGLOBULIN
- 71274-97-0/8,9-dichloro-2,3,4,5-tetrahydro-1H-2-benzazepine
- 31291-71-1/Naphthalene,1,2,3,4-tetrahydromethyl-
- 159766-56-0/Fmoc-N'-Acetyl-L-lysine
- 35980-25-7/AcetaMide, 2,2,2-trifluoro-N-(4-fluorophenyl)-
- 123924-38-9/SEKDEL sequence
- 71873-58-0/sodium 5-[[2-nitro-4-sulphamoylphenyl]amino]-2-[[4-[[2-nitro-4-sulphamoylphenyl]amino]phenyl]amino]benzenesulphonate
- 80853-95-8/1-((2-(3,4-Diethoxyphenyl)-2-methylpropoxy)methyl)-3-phenoxybenzene
- 127750-59-8/methyl N-[(2E)-3-phenylprop-2-enoyl]-L-methioninate
- 64691-92-5/[(4-bromo-2,6-dichlorophenyl)hydrazono]propanedinitrile
- 76706-55-3/MYXOTHIAZOL
- 5931-56-6/(5E)-1-(4-ethoxyphenyl)-5-{[5-(2-methyl-4-nitrophenyl)furan-2-yl]methylidene}-2-thioxodihydropyrimidine-4,6(1H,5H)-dione
- 79478-37-8/1-[(2R,3R)-3-(2,4-dichlorophenyl)-3-hexyloxiran-2-yl]-1H-imidazole ethanedioate
- 65662-88-6/4-BROMO DIPHENYL SULFIDE
- 102107-25-5/N-(cyclohexylmethyl)-4-methoxy-N-(2-piperidin-1-ylethyl)aniline hydrochloride
- 71550-56-6/2,5-dibutoxy-4-pyrrolidin-1-yl-benzenediazonium tetrafluoroborate
- 25882-44-4/disodium 1-[2-[(1-oxododecyl)amino]ethyl] 2-sulphonatosuccinate
