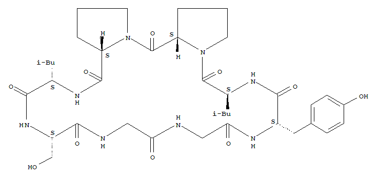
Pseudostellarin F (9CI)(158335-67-2)
- Name: Pseudostellarin F (9CI)
- Synonyms:1H,5H-Dipyrrolo[1,2-a:1',2'-d][1,4,7,10,13,16,19,22]octaazacyclotetracosine,cyclic peptide deriv.; Cyclo(glycylglycyl-L-tyrosyl-L-leucyl-L-prolyl-L-prolyl-L-leucyl-L-seryl)
- Molecular Formula:C38H56 N8 O10
- Molecular Weight:
- CAS Registry Number:158335-67-2
- EINECS:
- Melting Point:
- Water Solubility:
Other Product
- 73790-77-9/1-[3-[N-(2-Ethylthiophenyl)-N-methylamino]propyl]piperidine
- 10172-03-9/[1R,(+)]-6,6',12'-Trimethoxy-2,2'-dimethyloxyacanthan-7-ol
- 84540-18-1/Tannins, bisulfited
- 6310-02-7/2-amino-6-chloro-1H-pyrimidine-4-thione
- 172104-00-6/Dispiro[furan-2(5H),2'-benzo[1,2-d:4,5-d']bis[1,3]dioxole-6',2''(5''H)-furan]-5,5''-dimethanol,4',8'-bis(4-hydroxyphenyl)-a,a'-dimethyl-, stereoisomer (9CI)
- 69838-62-6/2-{4-[3-(trifluoromethyl)phenyl]piperazin-1-yl}ethyl 2-({3-[(trifluoromethyl)sulfanyl]phenyl}amino)pyridine-3-carboxylate dihydrochloride
- 90604-45-8/Alcohols, C12-15-branched and linear, reaction products with high-boiling piperazine deriv.-rich cyclic amines
- 127083-29-8/b-D-Fructopyranose,1,2:4,5-bis-O-(1-methylethylidene)-,1-(4-chlorobenzoyl)-5-methoxy-2-methyl-1H-indole-3-acetate (9CI)
- 20591-87-1/Propanoic acid, 2-(hydroxyimino)-, ethyl ester (9CI)
- 72088-95-0/Poly(oxy-1,2-ethanediyl),a-[2-(dibutylamino)ethyl]-w-hydroxy-
- 16388-47-9/Iron,tetracarbonyl(phosphorous trifluoride)-
- 63869-51-2/1,2,3,4,5,6-Hexahydro-3-cyclobutylmethyl-6-ethyl-1-methyl-2,6-methano-3-benzazocin-8-ol
- 73379-55-2/Fructosyltransferase,1,2-b-D-fructan 1F-
- 91533-01-6/N-[4-(aminosulfonyl)phenyl]-2-(4-morpholinyl)acetamide
- 1261-89-8/4-[1,3-bis(2,4-dichlorobenzyl)hexahydropyrimidin-2-yl]-N,N-bis(2-chloroethyl)-3-methylaniline
- 93767-40-9/2-Methylpropanoic acid (3aR)-2,3,3aβ,4,5,6,6a,9,9aβ,9bα-decahydro-6aβ,9α-dihydroxy-9β-methyl-3,6-bis(methylene)-2-oxoazuleno[4,5-b]furan-4α-yl ester
- 50590-02-8/3,5-dichloro-4-nitrophenyl dimethyl phosphate
- 84989-31-1/Copper,[29H,31H-phthalocyaninato(2-)-N29,N30,N31,N32]-, (1-methyl-1H-imidazolyl)methylderivs., sulfamates
- 72795-01-8/(±)-erythro-(S*,S*)-1-[2,3-(Dihydro-7-methyl-1H-inden-4-yl)oxy]-3-[(1-methylethyl)amino]-2-butanolhydrochloride
- 158335-67-2/Pseudostellarin F (9CI)
- 77029-92-6/Carboxypeptidaseinhibitor (tomato reduced) (9CI)
- 5165-11-7/2,6-dimethoxypyridine-3-carbaldehyde thiosemicarbazone
- 964-55-6/(2E)-1-(2,4-dinitrophenyl)-2-[(4E)-hex-4-en-1-ylidene]hydrazine
- 7138-40-1/Heptacosanoic acid
- 102669-37-4/N-(4-amino-6-propyl-1,3,5-triazin-2-yl)pentanamide
- 21382-83-2/Phosphonium,(2-ethoxy-2-oxoethyl)triphenyl-, inner salt
- 151391-35-4/3-(5,6-methylenedioxy-2-phthalimidyl)benzoyl azide
- 15614-21-8/Rhenium,pentacarbonyl(triphenylstannyl)-, (OC-6-22)-
- 7462-21-7/N-benzyl-4-nitro-1H-imidazole-5-carboxamide
- 35825-57-1/(R)-1,2,6,7,8,9-Hexahydro-1,6,6-trimethyl-phenanthro(1,2-b)furan-10,11-dione
