Current position:Home >Product >
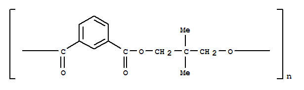
Poly[oxy(2,2-dimethyl-1,3-propanediyl)oxycarbonyl-1,3-phenylenecarbonyl]
Poly[oxy(2,2-dimethyl-1,3-propanediyl)oxycarbonyl-1,3-phenylenecarbonyl](26913-26-8)
- Name: Poly[oxy(2,2-dimethyl-1,3-propanediyl)oxycarbonyl-1,3-phenylenecarbonyl]
- Synonyms:Poly[oxy(2,2-dimethyltrimethylene)oxyisophthaloyl](8CI); A 410; Dimethyl isophthalate-neopentyl glycol copolymer, SRU; Distitron170; Distitron SP 184; GR 77006; Isophthalic acid-neopentyl glycol copolymer,SRU; Isophthalic acid-neopentyl glycol polymer, SRU; Neopentyleneglycol-isophthaloyl chloride copolymer, sru; Palatal A 410; Palatal A 410TV25;Pioneer 1100N; Polylite 32-168; Silmar 93; Vestopal 510; Viapal 47
- Molecular Formula:(C13H14 O4)n
- Molecular Weight:
- CAS Registry Number:26913-26-8
- EINECS:
- Melting Point:
- Water Solubility:
Other Product
- 122908-91-2/5H-Indeno[1,2-b]pyridin-5-one,7,8-dimethoxy-4-methyl-
- 68475-42-3/Anagrelide
- 13114-87-9/3-(TRIFLUOROMETHYL)PHENYLUREA
- 54-31-9/Furosemide
- 106-21-8/1-Octanol,3,7-dimethyl-
- 70914-00-0/Fatty acids, vegetable-oil, polymers with isophthalic acid, pentaerythritol and terephthalic acid
- 58214-93-0/8-(Methylthio)octanenitrile
- 122-78-1/Phenylacetaldehyde
- 80305-92-6/4-[(2-amino-4-hydroxy-6-oxo-1,6-dihydropyrimidin-5-yl)methyl]benzoic acid
- 54340-66-8/Subendazole
- 13737-98-9/5-amino-2-{[5-(1,3-dioxo-1,3-dihydro-2H-isoindol-2-yl)pentyl]oxy}benzoic acid
- 33124-27-5/Bicyclo(2.2.1)heptan-2-aminium, 3-(acetyloxy)-N,N,N,4,7,7-hexamethyl-, iodide, (exo,exo)-
- 82347-19-1/68856-32-6
- 25085-53-4/POLYPROPYLENE
- 41666-76-6/platinum(2+) propane-1,3-diyldiazanide - propanedioic acid (1:1:1)
- 26027-38-3/POLYETHYLENE GLYCOL MONO-4-NONYLPHENYL ETHER
- 166432-57-1/Amines, coco alkyl,2-methylpropanoates
- 63916-74-5/5-(benzoyloxy)-N,N-dimethyl-4,4-diphenylheptan-2-aminium chloride
- 72995-94-9/14-Bromotetradecanol
- 26913-26-8/Poly[oxy(2,2-dimethyl-1,3-propanediyl)oxycarbonyl-1,3-phenylenecarbonyl]
- 7772-98-7/Sodium thiosulfate
- 23205-90-5/2,5-bis[(2-chloroethyl)amino]cyclohexa-2,5-diene-1,4-dione
- 78868-42-5/4-(5-(4-Methoxyphenyl)-3-isoxazolyl)benzeneacetic acid
- 1076-74-0/5-METHOXY-2-METHYLINDOLE
- 96804-63-6/Propanoic acid, 3-(2,2-dimethyl-1-((phenylamino)thioxomethyl)hydrazino)-, methyl ester
- 6350-87-4/3,4,5-triethoxy-N-[1-(4-methoxyphenyl)ethylideneamino]benzamide
- 34828-64-3/D-Mannitol,anhydro-
- 77529-00-1/N-methyl-1-[2-(1-methylethyl)-4,5,6,7-tetrahydro-1,3-benzothiazol-5-yl]methanamine hydrochloride
- 12036-41-8/Terbium oxide
- 7779-53-5/4-Hydroxynonanoic acid
