Current position:Home >Product >
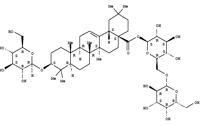
Olean-12-en-28-oicacid, 3-(b-D-glucopyranosyloxy)-, 6-O-b-D-galactopyranosyl-b-D-glucopyranosyl ester, (3b)- (9CI)
Olean-12-en-28-oicacid, 3-(b-D-glucopyranosyloxy)-, 6-O-b-D-galactopyranosyl-b-D-glucopyranosyl ester, (3b)- (9CI)(161161-58-6)
- Name: Olean-12-en-28-oicacid, 3-(b-D-glucopyranosyloxy)-, 6-O-b-D-galactopyranosyl-b-D-glucopyranosyl ester, (3b)- (9CI)
- Synonyms:ClemontanosideE
- Molecular Formula:C48H78 O18
- Molecular Weight:
- CAS Registry Number:161161-58-6
- EINECS:
- Melting Point:
- Water Solubility:
Other Product
- 65201-23-2/(2E)-3-{[2-(3,4-dimethoxyphenyl)ethyl]amino}-1-(4-fluorophenyl)-2-methylprop-2-en-1-one
- 125328-59-8/Fatty acids, tall-oil, esters with high-boiling C6-1O alkene hydroformylation products, sulfated, sodium salts
- 77922-38-4/2,3,6-trimethyl-1-(propylsulfanyl)hept-6-en-4-yn-3-ol
- 24355-83-7/(2Z)-2-(4-chlorophenoxy)but-2-enedioic acid
- 86167-76-2/Atlantic Direct Fast Brown BCW-NB
- 29868-46-0/phenyl 2,3,6-tri-O-acetyl-4-O-(2,3,4,6-tetra-O-acetylhexopyranosyl)hexopyranoside
- 124673-99-0/6-{4-[4-(4-fluorophenyl)piperazin-1-yl]-1-hydroxybutyl}-3-methyl-1,3-benzoxazol-2(3H)-one
- 183854-16-2/(4a.alpha.,5.alpha.,6.beta.,7.beta.)-3,3-[Tetrahydro-5,6-dihydroxy-2-oxo-4,7-bis(phenylmethy)-1H-1,3-diazepine-1,3(2H)-diyl]bis(methylene)bis[N-2-pyrimidinylbenzamide]
- 56424-49-8/2-[methyl(phenyl)amino]pentan-3-one
- 87614-39-9/5,10-Dihydroxy-3,7-dimethyl-4,6-dipropylpyrido[3,2-g]quinoline-2,8(1H,9H)-dione
- 6802-18-2/6-(3-chlorobenzyl)-5,7-dimethyl-N-octylpyrazolo[1,5-a]pyrimidine-3-carboxamide
- 100289-84-7/2-Propenoic acid,1,1'-[[2-ethyl-2-[[methyl-2-[(1-oxo-2-propen-1-yl)oxy]ethoxy]methyl]-1,3-propanediyl]bis[oxy(methyl-2,1-ethanediyl)]]ester
- 78787-78-7/1,7-dimethyl-9H-carbazole
- 91797-46-5/3,7-Anhydro-1,2-dideoxygluco-oct-2-enitol
- 73622-60-3/5-[(diphenylacetyl)oxy]-N,N-diethylpentan-1-aminium chloride
- 58672-76-7/Buxaminol A
- 63680-31-9/1-decylsulfanyl-N,N-diethyl-methanimidamide hydroiodide
- 161161-58-6/Olean-12-en-28-oicacid, 3-(b-D-glucopyranosyloxy)-, 6-O-b-D-galactopyranosyl-b-D-glucopyranosyl ester, (3b)- (9CI)
- 50906-62-2/1,3,5,6-Tetrahydroxy-2,7-bis(3-methyl-2-butenyl)-9H-xanthen-9-one
- 87134-87-0/R(+)-7-CHLORO-8-HYDROXY-3-METHYL-1-PHENYL-2,3,4,5-TETRAHYDRO-1H-3-BENZAZEPINE HYDROCHLORIDE
- 4435-24-9/bis[2-[2-(2-ethoxyethoxy)ethoxy]ethyl]
- 55682-89-8/1,1',1''-(1-Propanyl-2-ylidene)triscyclohexane
- 67508-86-5/(1S,3S)-3-acetyl-3,5,12-trihydroxy-10-methoxy-6,11-dioxo-1,2,3,4,6,11-hexahydrotetracen-1-yl 2,3,6-trideoxy-3-(methylamino)-alpha-L-lyxo-hexopyranoside
- 5609-61-0/3,4-dimethoxy-N-(3-methoxyphenyl)benzenesulfonamide
- 21007-21-6/deuterohemin
- 21236-85-1/quinoline-4-carbonitrile 1-oxide
- 61991-58-0/Aspidospermidine-3-carboxylic acid,4-(acetyloxy)-6,7-didehydro-15-[(3â,5R,- 12â,19R)-1,2-didehydro-7-ethylhydroxy-3- (methoxycarbonyl)-20,21- dinoraspidospermidin-3-yl]-1-formyl-3- hydroxy-16-methoxy-,methyl ester,(2â,3â,4â,5R,12â,19R)-
- 64371-33-1/2,7-Naphthalenedisulfonicacid, 3,6-bis[2-(3-arsonoylphenyl)diazenyl]-4,5-dihydroxy-
- 6109-72-4/3-chloro-N-(2-chloro-4-iodophenyl)benzamide
- 70038-39-0/methyl (octyloxy)acetate
