Current position:Home >Product >
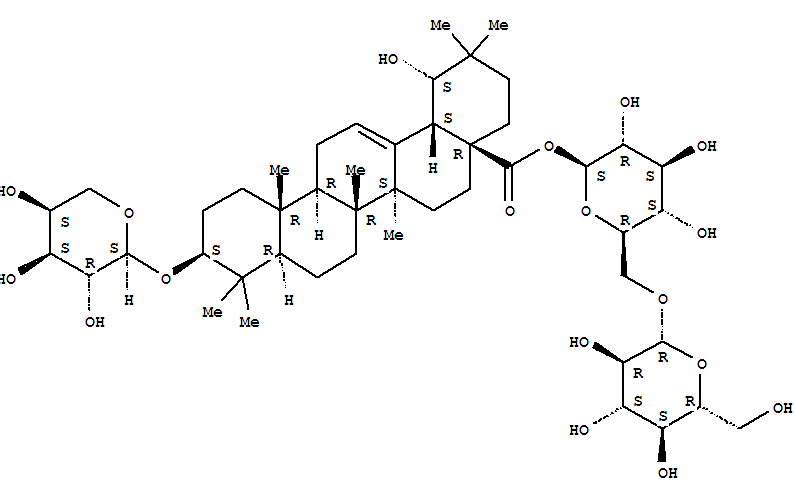
Olean-12-en-28-oicacid, 3-(a-L-arabinopyranosyloxy)-19-hydroxy-,6-O-b-D-glucopyranosyl-b-D-glucopyranosyl ester, (3b,19a)-
Olean-12-en-28-oicacid, 3-(a-L-arabinopyranosyloxy)-19-hydroxy-,6-O-b-D-glucopyranosyl-b-D-glucopyranosyl ester, (3b,19a)-(165198-48-1)
- Name: Olean-12-en-28-oicacid, 3-(a-L-arabinopyranosyloxy)-19-hydroxy-,6-O-b-D-glucopyranosyl-b-D-glucopyranosyl ester, (3b,19a)-
- Synonyms:MazusaponinI
- Molecular Formula:C47H76 O18
- Molecular Weight:
- CAS Registry Number:165198-48-1
- EINECS:
- Melting Point:
- Water Solubility:
Other Product
- 89911-12-6/D-Glucopyranoside, methyl, polymer with formaldehyde, 2-methylbenzenesulfonamide, 4-methylbenzenesulfonamide and 1,3,5-triazine-2,4,6-triamine
- 63496-31-1/arochlor 5432
- 1703-51-1/2,5-Heptanedione
- 12655-06-0/Antimonate(2-), bis[m-[(2R,3R)-2,3-di(hydroxy-kO)butanedioato(4-)-kO1:kO4]]di-, dihydrogen (9CI)
- 68630-99-9/Formaldehyde, polymer with 1,2-ethanediamine and (1,1,3,3-tetramethylbutyl)phenol
- 21186-49-2/6-benzylsulfanyl-7-ethyl-purine
- 72430-55-8/Hexadecanoic acid,3-[2-(3,4-dimethoxyphenyl)-7-methoxy-5-benzofuranyl]propyl ester
- 121661-43-6/2,4-Octadienoic acid,6-methyl-,(3aR,4aR,5R,6S,9aS)-9a-ethoxy-2,3,3a,4,4a,5,6,9a-octahydro-3a-hydroxy-4a,5-dimethyl-3-methylenenaphtho[2,3-b]furan-6-ylester, (2E,4E,6S)-
- 91021-76-0/1-(phenylsulfanyl)-7-[(phenylsulfanyl)methyl]-2,3-dihydro-1H-pyrrolizine
- 125613-44-7/Fatty acids, dehydrated castor-oil, polymers with benzoic acid, pentaerythritol, Ph Pr silsesquioxanes and phthalic anhydride
- 6622-42-0/2-(pyridin-2-yl)ethyl 3-nitrobenzoate
- 6506-36-1/3-benzoyl-2,6-dimethyl-4H-chromen-4-one
- 116308-47-5/[2,4'-Bipyridine]-3',5'-dicarboxylicacid, 4-cyano-1',4'-dihydro-2',6'-dimethyl-,3'-[2-[4-[bis(phenylmethyl)amino]phenyl]ethyl] 5'-methyl ester
- 78301-05-0/2,2',6,6'-TETRAMETHYLAZOBENZENE-N,N'-DIOXIDE
- 91976-53-3/diethyl hexylidenepropanedioate
- 6632-15-1/2,4-dichloro-N-(prop-2-en-1-yl)aniline
- 86352-10-5/Sulfonated 1,1-oxybis(methylbenzene), polymer with formaldehyde, ammonium salt
- 165198-48-1/Olean-12-en-28-oicacid, 3-(a-L-arabinopyranosyloxy)-19-hydroxy-,6-O-b-D-glucopyranosyl-b-D-glucopyranosyl ester, (3b,19a)-
- 39294-72-9/VD17
- 83968-98-3/4-[[(2,3-dihydro-2-methyl-1H-indol-1-yl)imino]methyl]-1-methylquinolinium acetate
- 119068-78-9/SODIUM SCYMNOL SULFATE
- 88783-19-1/4-(1,2-diphenylethyl)morpholine
- 5684-13-9/doisynoestrol
- 71251-98-4/Cobalt, [(1,2,5,6-h)-1,5-cyclooctadiene][(1,2,3,4,5-h)-1-ethyl-2,3,4,5-tetramethyl-2,4-cyclopentadien-1-yl]-
- 5730-14-3/(2Z)-3-(3-bromo-5-ethoxy-4-hydroxyphenyl)-2-cyano-N-(4-methoxyphenyl)prop-2-enamide
- 52019-13-3/methyl 4,6-O-benzylidene-3-deoxy-3-[(methylcarbamoyl)amino]hexopyranoside
- 162952-21-8/Fatty acids, tall-oil,polymers with formaldehyde, isophthalic acid, rosin, tall oil andtrimethylolpropane
- 14675-49-1/4(1H)-Pyrimidinone, 5-amino-6-methyl- (9CI)
- 6010-62-4/N-(3-chloro-2-methylphenyl)-6-nitro-2-oxo-2H-chromene-3-carboxamide
- 71431-97-5/methyl chrysene-5-carboxylate
