Current position:Home >Product >
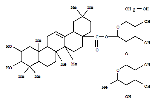
Olean-12-en-28-oicacid, 2,3-dihydroxy-, 2-O-(6-deoxy-a-L-mannopyranosyl)-b-D-glucopyranosyl ester, (2a,3b)- (9CI)
Olean-12-en-28-oicacid, 2,3-dihydroxy-, 2-O-(6-deoxy-a-L-mannopyranosyl)-b-D-glucopyranosyl ester, (2a,3b)- (9CI)(165198-94-7)
- Name: Olean-12-en-28-oicacid, 2,3-dihydroxy-, 2-O-(6-deoxy-a-L-mannopyranosyl)-b-D-glucopyranosyl ester, (2a,3b)- (9CI)
- Synonyms:AsteryunnanosideC
- Molecular Formula:C42H68 O13
- Molecular Weight:
- CAS Registry Number:165198-94-7
- EINECS:
- Melting Point:
- Water Solubility:
Other Product
- 53146-44-4/17018-07-4
- 37256-44-3/E.C. 1.7.7.1
- 9031-95-2/E.C. 2.6.1.22
- 1534-38-9/nifurstyrenic acid
- 56608-92-5/Benzenesulfonic acid, 4-hydroxy-3-methoxy-, compd. with (4S-(4alpha,4aalpha,5alpha,5aalpha,6alpha,12aalpha))-4-(dimethylamino)-1,4,4a,5,5a,6,11,12a-octahydro-3,5,10,12,12a-pentahydroxy-6-methyl-1,11-dioxo-2-naphthacenecarboxamide (1:1)
- 188944-01-6/Schiarisanrin B
- 64038-40-0/7,8,11-Trimethylbenz[c]acridine
- 3240-34-4/(Diacetoxyiodo)benzene
- 51052-51-8/Pseudoharringtonine
- 79189-73-4/N-(9H-fluoren-9-ylacetyl)tryptophan
- 70216-96-5/2-(2-benzothiazolyloxy)phenol
- 203-42-9/1,8-DINAPHTHYLENETHIOPHENE
- 86936-92-7/(2S,3S,4R,5R)-3-[[(2S)-2-amino-3-(4-methoxyphenyl)propanoyl]amino]-5-( 6-aminopurin-9-yl)-4-hydroxy-oxolane-2-carboxylic acid dihydrochloride
- 72828-50-3/(3R)-3-ethylheptyl 3-propylhexyl hexanedioate
- 165198-94-7/Olean-12-en-28-oicacid, 2,3-dihydroxy-, 2-O-(6-deoxy-a-L-mannopyranosyl)-b-D-glucopyranosyl ester, (2a,3b)- (9CI)
- 23701-49-7/N-[[(Diethoxyphosphinyl)thio]acetyl]-L-valine ethyl ester
- 305855-91-8/3-(1,1-DIOXO-TETRAHYDRO-1LAMBDA6-THIOPHEN-3-YL-AMINO)-PROPANE-1,2-DIOL
- 91132-71-7/o-(2-Butenyloxy)benzamide
- 5445-44-3/O-BENZYL-DL-SERINE
- 824-28-2/1,3-Dimethyl-s-triazine,-2,4(1H,3H)-dione
- 7770-99-2/2-[2-(azepan-1-yl)ethyl]guanidine sulfate (2:1)
- 25120-29-0/2-Propenoic acid, 2-methyl-, methyl ester, polymer with 1,1-dichloroethene
- 156161-97-6/(2R,3E)-4-[(1S,4S,6R)-1,4-dihydroxy-2,2,6-trimethylcyclohexyl]but-3-en-2-yl 6-O-[(2R,3R,4R)-3,4-dihydroxy-4-(hydroxymethyl)tetrahydrofuran-2-yl]-beta-D-glucopyranoside
- 4603-59-2/3,6-DIMETHOXYPYRIDAZINE
- 13141-86-1/1-(4-nitrophenyl)-3-propylurea
- 54964-85-1/Decahydro-2,6-dimethyl-3-octylnaphthalene
- 21609-11-0/carbonylcyanide-4-trichloromethoxyphenylhydrazone
- 29538-92-9/[5-hydroxy-3-(4-methylbenzoyl)-1-benzofuran-4-yl]-N,N-dimethylmethanaminium chloride
- 4335-85-7/2-silyl-
- 4667-90-7/3-Sila-5-germa-4-mercuraheptane
