Current position:Home >Product >
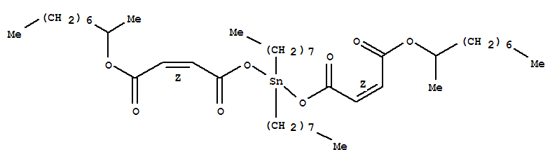
O4-[[(Z)-4-(1-methyloctoxy)-4-oxo-but-2-enoyl]oxy-dioctyl-stannyl] O1-(1-methyloctyl) (Z)-but-2-enedioate
O4-[[(Z)-4-(1-methyloctoxy)-4-oxo-but-2-enoyl]oxy-dioctyl-stannyl] O1-(1-methyloctyl) (Z)-but-2-enedioate(108537-06-0)
- Name: O4-[[(Z)-4-(1-methyloctoxy)-4-oxo-but-2-enoyl]oxy-dioctyl-stannyl] O1-(1-methyloctyl) (Z)-but-2-enedioate
- Synonyms:5,7,12-Trioxa-6-stannaeicosa-2,9-dienoicacid, 13-methyl-6,6-dioctyl-4,8,11-trioxo-, 1-methyloctyl ester, (Z,Z)-
- Molecular Formula:C42H76 O8 Sn
- Molecular Weight:827.76
- CAS Registry Number:108537-06-0
- EINECS:
- Melting Point:
- Water Solubility:
Other Product
- 85611-88-7/Elaeagin
- 67707-87-3/(1aS,1bR,3S,4aS,6R,7aR,7bR,8R,9aR)-1,1,3,6,8-pentamethyltetradecahydro-1H-cyclopropa[3,4]benzo[1,2-e]azulene
- 100596-38-1/METHYL 4-[3,5-BIS(METHOXYCARBONYL)PHENOXY]-3-AMINOBENZOATE
- 90480-33-4/9-Octadecen-1-ol, (Z)-, reaction products with hydrogen sulfide, sulfur and 2,4,4-trimethylpentene, reaction products with phosphorus oxide (P2O5), compds. with tert-dodecanamine (1:1)
- 78897-69-5/bis(2-ethylhexyl) 2-(diethoxyphosphoryl)butanedioate
- 104407-43-4/Tricyclo[6.3.2.02,5]tridec-8-en-1-ol,4,4-dimethyl-, (1S,2S,5R,8Z)- (9CI)
- 29246-34-2/10-Undecenamide, N-phenyl-
- 51839-25-9/Carbonic acid, zinc salt, basic
- 34947-51-8/4,6,7,9-Tetrahydro-9-(3,4,5-trimethoxyphenyl)-2,6,6-trimethyl-1H-cyclopenta[b]quinoline-1,3,8(2H,5H)-trione
- 72382-91-3/tetrabenzo[a,c,m,o]naphtho[1,2,3,4-rst]pentaphene
- 110638-68-1/CALCIUM LACTOBIONATE
- 89803-99-6/2-Methyl-2-butenoic acid 3-hydroxy-4,7,7,11-tetramethyl-12-oxabicyclo[9.1.0]dodec-4-en-6-yl ester
- 86126-31-0/Acetic acid, ((4-chlorophenyl)thio)-, compd. with 2,2,2-nitrilotris(ethanol) (1:1)
- 12233-02-2/Bismuth, compd. with neodymium (1:1)
- 515-57-1/maleylsulfathiazole
- 19096-67-4/(7E)-7-[(2Z)-2-(5-fluoro-1,3,3-trimethyl-1,3-dihydro-2H-indol-2-ylidene)ethylidene]-5-methyl-8-oxo-7,8-dihydroquinolinium
- 33867-33-3/4,4-diethyldihydrofuran-2(3H)-one
- 40967-01-9/7-chloro-5-(2-chlorophenyl)-3-(2-hydroxyethoxy)-1,3-dihydro-2H-1,4-benzodiazepin-2-one
- 14693-81-3/TANTALUM (V) IODIDE
- 108537-06-0/O4-[[(Z)-4-(1-methyloctoxy)-4-oxo-but-2-enoyl]oxy-dioctyl-stannyl] O1-(1-methyloctyl) (Z)-but-2-enedioate
- 91067-21-9/5-chloro-1,3-bis[(phenylamino)methyl]-1,3-dihydro-2H-benzimidazole-2-thione
- 144906-16-1/cor6.6 protein
- 20072-14-4/(5α,25α)-8,14-Didehydrocevane-3β,15β-diol
- 82682-96-0/phosphoricacid,2,3-dibromopropyldimethylester
- 53222-05-2/N-[4-[(3-Acetylamino-9-acridinyl)amino]phenyl]-1-hexanesulfonamide
- 13441-54-8/3-formyl-1-methylpyridinium
- 5730-45-0/2-(3,4-dimethoxyphenyl)-N-(3,5-dimethylphenyl)acetamide
- 68378-56-3/67710-90-1
- 51980-16-6/vasopressin, 1-deamino-4-Val-8-Arg-
- 58722-75-1/1-(2-chlorodibenzo[b,f]thiepin-10-yl)-4-methylpiperazine methanesulfonate
