NodRM-1(128269-59-0)
- Name: NodRM-1
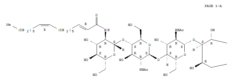
- Synonyms:D-Glucose,O-2-deoxy-2-[(1-oxo-2,9-hexadecadienyl)amino]-b-D-glucopyranosyl-(1®4)-O-2-(acetylamino)-2-deoxy-b-D-glucopyranosyl-(1®4)-O-2-(acetylamino)-2-deoxy-b-D-glucopyranosyl-(1®4)-2-(acetylamino)-2-deoxy-,6-(hydrogen sulfate), (E,Z)-; D-Glucose,O-2-deoxy-2-[[(2E,9Z)-1-oxo-2,9-hexadecadienyl]amino]-b-D-glucopyranosyl-(1®4)-O-2-(acetylamino)-2-deoxy-b-D-glucopyranosyl-(1®4)-O-2-(acetylamino)-2-deoxy-b-D-glucopyranosyl-(1®4)-2-(acetylamino)-2-deoxy-,6-(hydrogen sulfate) (9CI); NodRm 1; Nodulation factor Rm 1
- Molecular Formula:C46H78 N4 O24 S
- Molecular Weight:1103.19
- CAS Registry Number:128269-59-0
- EINECS:
- Melting Point:
- Water Solubility:
 
	   Other Product
- 4901-42-2/O-Methyl O,O-bis(3-methyl-4-nitrophenyl) phosphorothioate
- 64895-33-6/N-(4-bromophenyl)acridin-9-amine hydrochloride (1:1)
- 16529-66-1/3-PENTENENITRILE
- 94166-57-1/N-ethyl-6-methoxy-3-nitropyridin-2-amine
- 13005-85-1/2-(dimethylamino)pteridin-4(1H)-one
- 112-77-6/OLEOYL CHLORIDE
- 34180-13-7/2,2'-terephthaloyl bis(trimethylhydrazinium)
- 106-25-2/2,6-Octadien-1-ol,3,7-dimethyl-, (2Z)-
- 89054-73-9/2-(dimethylamino)ethyl pyridine-3-carboxylate dihydrochloride
- 73105-08-5/amino{3-[bis(2-chloroethyl)amino]phenyl}acetic acid
- 141442-08-2/Fingerclasp protein
- 1877-98-1/N-{[(8beta)-6-methylergolin-8-yl]methyl}pyridine-3-carboxamide
- 42208-37-7/dihydrate
- 133661-79-7/4-Thiazolecarboxylic acid, 2-amino-, ((2-chlorophenyl)methylene)hydrazide, (E)-
- 15397-08-7/3,4-dihydroxy-5-(1,2,3-trihydroxypropyl)oxolan-2-one
- 17332-57-9/2,4'-IMINO-DIBENZOIC ACID
- 78070-10-7/3-Pyridinamine, 4-(4-morpholinyl)-, dihydrochloride
- 5431-93-6/ethyl 2-acetaMido-3-oxobutanoate
- 65816-99-1/(20S)-20,29-Epoxy-5α-lupan-3β-ol
- 128269-59-0/NodRM-1
- 25750-06-5/2-Propenoic acid, 2-methyl-, methyl ester, polymer with ethenylbenzene and 2-ethylhexyl 2-propenoate
- 125408-63-1/Fatty acids, linseed-oil, compds. with ethanolamine
- 87533-97-9/N-n-propyl-7-hydroxyoctahydrobenzo(f)quinoline
- 6157-14-8/7-methyl-5-(2-oxopropoxy)-4-phenyl-2H-chromen-2-one
- 100572-96-1/porphycene
- 85750-21-6/2-[2-[4-[benzyl(2-cyanoethyl)amino]phenyl]vinyl]-1,3,3-trimethyl-3H-indolium chloride
- 57901-39-0/(1S,8S,9R,11S,19R)-1,8,11,18-tetramethyl-5,9,10,11,15,18,19,20-octahydro-4H,7H-1,19:9,11-diethanodibenzo[c,k][1,9]dioxacyclohexadecine-4,7,14,17(1H,8H)-tetrone
- 69932-44-1/2,6-dimethyl-3-pyrrolidin-1-yl-4H-chromen-4-one
- 73003-82-4/1-[3-[3-(Trimethoxysilyl)propoxy]phenyl]-2,5-pyrrolidinedione
- 214359-10-1/Berneuxia saponin C

 
               
       