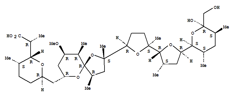
Nigericin, (28S)- (9CI)(108266-17-7)
- Name: Nigericin, (28S)- (9CI)
- Synonyms:1,6-Dioxaspiro[4.5]decane,nigericin deriv.; Epinigericin
- Molecular Formula:C40H68 O11
- Molecular Weight:722.9885
- CAS Registry Number:108266-17-7
- EINECS:
- Melting Point:
- Water Solubility:
Other Product
- 64723-18-8/Polyaspartic acid Potassium salt
- 9012-94-6/Fortuitin
- 6484-53-3/4-ethoxy-N-[(1-methyl-2-oxo-indol-3-ylidene)amino]benzenesulfonamide
- 1972-99-2/N,N-dimethyl-6-phenyl-1,3,5-triazine-2,4-diamine
- 93686-31-8/Benzenesulfonic acid, 2-amino-5-((4-amino-3-sulfophenyl)(4-imino-3-methyl-5-sulfo-2,5-cyclohexadien-1-ylidene)methyl)-3-methyl-, Me derivs., disodium salts
- 19625-12-8/2-(5,11-dihydrodibenzo[b,e][1,4]oxazepin-11-yl)-N,N-dimethylethanaminium (2E)-3-carboxyprop-2-enoate
- 63915-92-4/N-benzyl-N-[1-methyl-2-(4-phenylpiperidin-1-yl)ethyl]propanamide ethanedioate (2:1)
- 85536-25-0/Butter acid
- 75776-36-2/3-heptadecyl-5-(pentylamino)benzene-1,2-diol
- 74007-99-1/4-Thiazolidinecarboxylic acid, 3-(3-(2-(p-chlorophenoxy)-2-methylpropi onamido)-2-(p-chlorophenoxy)propionyl)-5,5-dimethyl-
- 13572-97-9/GADOLINIUM HYDRIDE
- 63533-70-0/[(1bS,4aS,7aS,7bS,8R,9R)-9a-(acetyloxy)-4a,7b-dihydroxy-1,1,6,8-tetramethyl-5-oxo-9-(tetradecanoyloxy)-1a,1b,4,4a,5,7a,7b,8,9,9a-decahydro-1H-cyclopropa[3,4]benzo[1,2-e]azulen-3-yl]methyl tetradecanoate
- 13537-98-9/6-(acetylamino)pyridine-2-carboxamide
- 53246-51-8/N-(5-benzamido-2H-1,2,4-triazol-3-yl)benzamide
- 58892-33-4/N,4-dimethyl-6-(trifluoromethyl)-1,3,5-triazin-2-amine
- 19501-58-7/4-Methoxyphenylhydrazine hydrochloride
- 21278-77-3/2-(4-CHLORO-PHENYL)-THIAZOLE-4-CARBALDEHYDE
- 32499-64-2/N-Carbethoxy-4-tropinone
- 6550-89-6/N-[5-(diethylsulfamoyl)-2-morpholin-4-ylphenyl]-4-methylbenzamide
- 108266-17-7/Nigericin, (28S)- (9CI)
- 5577-42-4/N-[4-(2-Bromoacetyl)phenyl]methanesulfonamide
- 37906-97-1/1-{2-[(bicyclo[5.1.0]octa-2,4-dien-8-ylcarbonyl)oxy]ethyl}piperidinium chloride
- 32728-54-4/(16R)-9,10,25-trimethoxy-15-methyl-7,23-dioxa-15,30-diazaheptacyclo[22.6.2.2~3,6~.2~18,21~.1~8,12~.0~16,35~.0~27,31~]heptatriaconta-1(31),3,5,8(35),9,11,18,20,24,26,33,36-dodecaen-32-one (non-preferred name)
- 17639-39-3/4-nitrophenyl glycinate
- 1608-68-0/Acetic acid o-isopropylphenyl ester
- 104700-87-0/6H-Benzofuro[3,2-c][1]benzopyran-3-ol,6a,11a-dihydro-6,9-dimethoxy-, (6R,6aS,11aR)-
- 7403-90-9/4-{[(2-amino-6-oxo-3,6-dihydropyrimidin-4-yl)carbamothioyl]amino}benzoic acid
- 15874-06-3/6,9,12-tripropylheptadecane
- 148067-21-4/ITSFEEAKGLDRINERMPPRRDAMP
- 1393-92-6/Litmus
