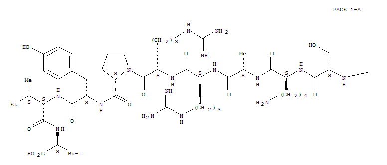
Neurotensin (Ranatemporaria) (9CI)(142227-45-0)
- Name: Neurotensin (Ranatemporaria) (9CI)
- Synonyms:Neurotensin(ox), 2-L-serine-3-L-histidine-4-L-isoleucine-5-L-serine-7-L-alanine-;L-Leucine,5-oxo-L-prolyl-L-seryl-L-histidyl-L-isoleucyl-L-seryl-L-lysyl-L-alanyl-L-arginyl-L-arginyl-L-prolyl-L-tyrosyl-L-isoleucyl-
- Molecular Formula:C70H114 N22 O18
- Molecular Weight:
- CAS Registry Number:142227-45-0
- EINECS:
- Melting Point:
- Water Solubility:
Other Product
- 20552-76-5/ethyl (4E)-4-[2-(2,4-dinitrophenyl)hydrazinylidene]butanoate
- 23288-41-7/5-[3-(methylamino)propyl]-5,7-dihydro-6H-dibenzo[d,f][1,3]diazepin-6-one
- 63641-70-3/2-Propanol, 1-((2-aminoethyl)amino)-, polymer with 1,1-methylenebis(isocyanatocyclohexane), alpha,alpha-((1-methylethylidene)di-4,1-phenylene)bis(omega-hydroxypoly(oxy(methyl-1,2-ethanediyl))) and alpha,alpha,alpha-1,2,3-propanetriyltris(omega-hydroxypoly(oxy(methyl-1,2-ethanediyl)))
- 7495-90-1/4-(tetrahydrofuran-2-yl)butan-2-yl decanoate
- 142287-36-3/7-methyl-1-phenyl-3-{3-[4-(1,3-thiazol-2-yl)piperazin-1-yl]propyl}-2-thioxo-2,3-dihydropyrimido[4,5-d]pyrimidin-4(1H)-one
- 34972-41-3/4-chloro-N,N-bis(oxiran-2-ylmethyl)aniline
- 68928-97-2/Hexanedioic acid, polymer with 1,3-butanediol, 1,6-diisocyanato-2,2,4-trimethylhexane and 2-ethyl-2-(hydroxymethyl)-1,3-propanediol
- 4254-88-0/H-ASU-OH
- 27629-62-5/Phosphenothioic acid(8CI,9CI)
- 53718-34-6/6'-(tert-butyl)-2',3'-dihydro-3',3'-dimethylspiro[cyclohexane-1,1'-[1H]indene]-5'-ol
- 78114-10-0/1H-Oxireno[1,8a]azuleno[4,5-b]furan-8(4H)-one,octahydro-1,2,4-trihydroxy-1,4-dimethyl-7-methylene- (9CI)
- 5227-71-4/3 3-DIMETHYL-2-METHYLENE-1-PHENYLINDOLI&
- 73018-69-6/1,3-Benzenedicarboxylic acid, polymer with 2,2-dimethyl-1,3-propanediol, 2-ethyl-2-(hydroxymethyl)-1,3-propanediol, hexanedioic acid, 1,6-hexanediol, 1,3-isobenzofurandione and 4,4-(1-methylethylidene)bis(cyclohexanol)
- 843-93-6/CP-10447
- 157023-92-2/10-[2-(diethylnitroryl)ethyl]-3H-pyridazino[4,5-b][1,4]benzothiazin-4(10H)-one 5,5-dioxide hydrochloride
- 1218-82-2/6-FLUOROFLAVONE
- 5371-22-2/5-{[1-(3,4-dichlorophenyl)-2,5-dimethyl-1H-pyrrol-3-yl]methylidene}-3-propyl-2-thioxo-1,3-thiazolidin-4-one
- 156031-91-3/Olean-12-en-28-oicacid, 3-[(3-O-b-D-glucopyranosyl-b-D-glucopyranosyl)oxy]-2,16,23-trihydroxy-,O-D-apio-b-D-furanosyl-(1®3)-O-[b-D-xylopyranosyl-(1®4)]-O-6-deoxy-a-L-mannopyranosyl-(1®2)-a-L-arabinopyranosyl ester, (2b,3b,4a,16a)- (9CI)
- 6007-78-9/alpha-oxothiophen-2-acetonitrile
- 142227-45-0/Neurotensin (Ranatemporaria) (9CI)
- 85930-14-9/sodium 4,5-dihydro-1H-imidazo[4,5-b]pyridin-2-olate
- 7478-54-8/4-(3,4-dimethoxybenzylidene)dihydrofuran-2(3H)-one
- 60625-61-8/4-{[(E)-{4-[bis(3-chloropropyl)amino]-2-methylphenyl}methylidene]amino}-2,6-dibromophenol
- 18933-88-5/a-D-Glucopyranoside,6-azido-6-deoxy-a-D-glucopyranosyl6-azido-6-deoxy-
- 6214-18-2/Isopropyl Benzenesulfonate
- 6525-45-7/ETHYL 2-CYANOBENZOATE 97
- 18705-01-6/2-phenoxy-N-phenylacetamide
- 6296-14-6/N-(9-bromo-9H-fluoren-2-yl)acetamide
- 128508-54-3/2H,4H-Indolo[7a,1-a][2]benzazepine-9,12-diol,1,5,6,11,12,13-hexahydro-7,8-dimethoxy-, (10bS,12S)- (9CI)
- 141914-99-0/1,2,3,3-TETRAMETHYLBENZ[E]INDOLIUM TOSYLATE
