Current position:Home >Product >
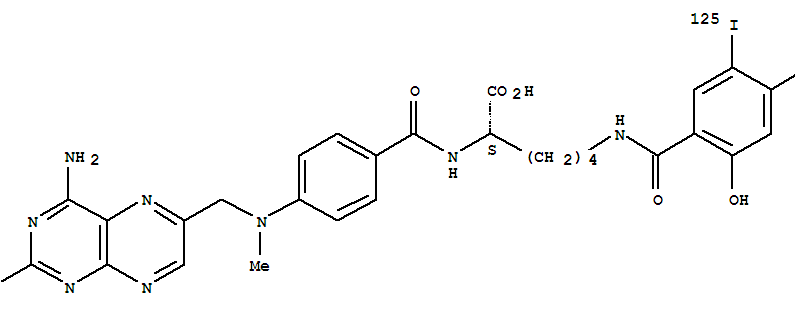
N(alpha)-(4-amino-4-deoxy-10-methylpteroyl)-N(epsilon)-(4-azido-5-iodosalicylyl)lysine
N(alpha)-(4-amino-4-deoxy-10-methylpteroyl)-N(epsilon)-(4-azido-5-iodosalicylyl)lysine(108919-01-3)
- Name: N(alpha)-(4-amino-4-deoxy-10-methylpteroyl)-N(epsilon)-(4-azido-5-iodosalicylyl)lysine
- Synonyms:
- Molecular Formula:C28H29 I N12 O5
- Molecular Weight:738.5119
- CAS Registry Number:108919-01-3
- EINECS:
- Melting Point:
- Water Solubility:
Other Product
- 27439-06-1/5-Hydroxy-3-[(4-hydroxyphenyl)methylene]benzofuran-2(3H)-one
- 21099-87-6/Flavinyltryptophan
- 2448-15-9/9-benzyl-3-phenyl-9-azoniabicyclo[3.3.1]nonane chloride
- 93966-77-9/(R-(R*,R*-(Z,Z)))-Hydroxybis(12-hydroxyoctadec-9-enoato-O1)aluminium
- 22014-48-8/ethyl 4-(methylthio)butyrate
- 63887-60-5/2-Propenoic acid, 2-hydroxyethyl ester, polymer with 1,4-butanedioland 5-isocyanato-1-(isocyanatomethyl)-1,3,3-trimethylcyclohexane
- 84696-40-2/Pepper (Piper), P. methysticum, ext.
- 74039-25-1/2,4,5-Trichloro-6-(trichloromethyl)pyrimidine
- 78289-16-4/N-(2,6-dimethylphenyl)-1-(2-hydroxyethyl)piperidine-2-carboxamide hydrochloride
- 99735-00-9/1-cyclopropyl-6,8-difluoro-7-{3-[(methylamino)methyl]pyrrolidin-1-yl}-4-oxo-1,4-dihydroquinoline-3-carboxylic acid
- 172923-94-3/2-hydroxy-N-{2-[2-(1H-imidazol-5-yl)ethyl]-5-methyl-3-oxo-1,2-oxazolidin-4-yl}benzamide
- 94247-07-1/isoheptyl methacrylate
- 91100-28-6/2-DIBENZOTHIENYL p-NITROPHENYL KETONE
- 70203-81-5/3-methyl-2-(4-oxo-2-phenylquinazolin-3(4H)-yl)butanoic acid - piperazine (2:1)
- 100429-08-1/8-hydroxy-5-[(1R)-1-hydroxy-2-{[(2R)-1-(4-methoxyphenyl)propan-2-yl]amino}ethyl]quinolin-2(1H)-one hydrochloride (1:1)
- 70084-88-7/Linseed oil, tung oil, trimethylolpropane, chlorendic anhydride, benzoic acid polymer
- 85030-51-9/2-[(1-methylpropyl)thio]anthraquinone
- 30635-00-8/Cholan-24-oic acid,3,12-dihydroxy-, (3a,12a)-
- 108919-01-3/N(alpha)-(4-amino-4-deoxy-10-methylpteroyl)-N(epsilon)-(4-azido-5-iodosalicylyl)lysine
- 21367-29-3/Amidoamine S
- 7248-80-8/2-[(2E)-2-hydroxyimino-4,6,6-trimethyl-1-cyclohex-3-enyl]-4,6,6-trimethyl-cyclohex-3-en-1-ol
- 72435-86-0/9-hydroxy-11-methoxy-8-methyl-5-oxo-2,3,5,10,11,11a-hexahydro-1H-pyrrolo[2,1-c][1,4]benzodiazepin-2-yl acetate
- 152406-43-4/dipsacus saponin C
- 103898-38-0/methyl (5E)-5-[3-{[benzyl(methyl)amino]methyl}-1,2,4-oxadiazol-5(2H)-ylidene]-2,6-dimethyl-4-(3-nitrophenyl)-4,5-dihydropyridine-3-carboxylate
- 53263-89-1/3-bromoadamantane-1-carboxamide
- 78899-02-2/(2E)-3-(5-nitropyridin-2-yl)-2-[(2E)-2-(6-oxocyclohexa-2,4-dien-1-ylidene)ethylidene]-2,3-dihydroquinazolin-4(1H)-one
- 6441-56-1/2H-Benzimidazol-2-one,1,3-dihydro-1-[1-(4-phenylbutyl)-4-piperidinyl]-
- 68424-75-9/Bisulfited blown lard oil
- 5774-69-6/diethyl (benzyloxy)methylmalonate
- 93165-36-7/Fatty acids, sunflower-oil, isomerized
