Current position:Home >Product >
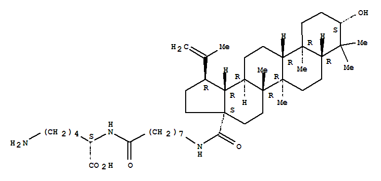
N~2~-(8-{[(3beta)-3-hydroxy-28-oxolup-20(29)-en-28-yl]amino}octanoyl)-L-lysine
N~2~-(8-{[(3beta)-3-hydroxy-28-oxolup-20(29)-en-28-yl]amino}octanoyl)-L-lysine(150840-62-3)
- Name: N~2~-(8-{[(3beta)-3-hydroxy-28-oxolup-20(29)-en-28-yl]amino}octanoyl)-L-lysine
- Synonyms:3aH-Cyclopenta[a]chrysene,L-lysine deriv.; Lupane, L-lysine deriv.
- Molecular Formula:C44H75 N3 O5
- Molecular Weight:726.0834
- CAS Registry Number:150840-62-3
- EINECS:
- Melting Point:
- Water Solubility:
Other Product
- 54743-05-4/3-[3-(dimethylamino)-2-methylpropyl]-5-(4-methylphenyl)-5-pyridin-3-ylimidazolidine-2,4-dione
- 529-21-5/3-ETHYL-4-METHYLPYRIDINE
- 54965-59-2/2-Chloro-4-methyl-6-nitro-quinoline
- 6250-16-4/methyl (2Z)-2-[(6-chloro-1,3-benzodioxol-5-yl)methylidene]hydrazinecarboxylate
- 77985-15-0/2-(Diethylamino)ethyl 2,4-diphenylbutyrate
- 31314-16-6/(Z)-2-(octadec-9-enylamino)ethanol
- 8067-42-3/Arsenic acid (H3AsO4),sodium salt,mixt. with chromic acid (H2Cr2O7) dipotassium salt and sodium fluoride (NaF)
- 126005-99-0/(2alpha)-abieta-8(14),9(11),12-triene-2,11,12-triol
- 93980-80-4/bicyclo[2.2.1]hept-1-yl acetate
- 698-90-8/Cyclohexylurea
- 97142-25-1/N-pentafluorobenzoyl-di-n-butylamide taurine
- 149064-40-4/2-Propenoic acid,3-[4-(2,3-butadien-1-yloxy)phenyl]-, methyl ester, (2Z)-
- 97926-23-3/FEMA No. 2172
- 31458-36-3/6-FLUOROTHYMINE
- 143594-82-5/Cyclohexanemethanamine, 5-amino-1,3,3-trimethyl-, polymer with alpha-hydro-omega-hydroxypoly(oxy-1,4-butanediyl), alpha-hydro-omega-hydroxypoly(oxy-1,2-ethanediyl), alpha-hydro-omega-hydroxypoly(oxy(methyl-1,2-ethanediyl)) and 5-isocyanato-1-(isocyanatomethyl)-1,3,3-trimethylcyclohexane
- 63938-28-3/(3alpha)-3-methoxy-1,2,6,7-tetradehydroerythrinan-15,16-diol hydrochloride
- 53345-15-6/1-(2-PYRIDIN-2-YL-ETHYL)-PIPERAZINE
- 32706-73-3/N,N-diethyl-N-[2-(hexadecanoylamino)ethyl]prop-2-yn-1-aminium
- 30237-26-4/Fructose
- 150840-62-3/N~2~-(8-{[(3beta)-3-hydroxy-28-oxolup-20(29)-en-28-yl]amino}octanoyl)-L-lysine
- 347-63-7/3-(3-FLUORO-4-METHOXYBENZOYL)PROPIONIC ACID
- 63273-88-1/2-[3-(2,4-dichlorophenoxy)-2-hydroxypropyl]guanidine sulfate (2:1) (salt)
- 92829-25-9/N-(carboxymethyl)-N,N-dimethyldodecan-1-aminium
- 67923-89-1/trilithium 5-amino-4-hydroxy-3-[[4'-[(1-hydroxy-4-sulphonato-2-naphthyl)azo]-3,3'-dimethoxy[1,1'-biphenyl]-4-yl]azo]naphthalene-2,7-disulphonate
- 5873-24-5/disodium 7-(benzoylamino)-4-hydroxy-3-[[2-methyl-4-[(4-sulphonatophenyl)azo]phenyl]azo]naphthalene-2-sulphonate
- 56558-34-0/N-methyl-1-(2-tricyclo[3.3.1.1~3,7~]dec-1-ylphenyl)propan-2-amine
- 100295-79-2/(5E,7Z,14Z)-10-Chloro-12-hydroxy-9-oxoprosta-5,7,10,14-tetren-1-oic acid methyl ester
- 3964-50-9/Thiourea,N-(1,1-dimethylethyl)-N'-methyl-
- 111712-51-7/2,3-dibromo-1-chloro-3-methylbutane
- 9030-19-7/MALTOSE PHOSPHORYLASE
