Current position:Home >Product >
		
		
	
N(2)-(7,8,9,10-tetrahydro-7,8,9-trihydroxybenzo(a)pyren-10-yl)guanine
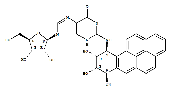
N(2)-(7,8,9,10-tetrahydro-7,8,9-trihydroxybenzo(a)pyren-10-yl)guanine(60872-70-0)
- Name: N(2)-(7,8,9,10-tetrahydro-7,8,9-trihydroxybenzo(a)pyren-10-yl)guanine
 - Synonyms:Guanosine,N-(7,8,9,10-tetrahydro-7,8,9-trihydroxybenzo[a]pyren-10-yl)-, [7R-(7a,8b,9b,10a)]-; Benzo[a]pyrene, guanosinederiv.
 - Molecular Formula:C30H27 N5 O8
 - Molecular Weight:585.56
 - CAS Registry Number:60872-70-0
 - EINECS:
 - Melting Point:
 - Water Solubility:
 
	   Other Product
- 126059-64-1/dicor cement
 - 23804-93-5/8-[2-(2-methoxyphenoxy)ethyl]-1-oxa-3,8-diazaspiro[4.5]decan-2-one hydrochloride (1:1)
 - 68171-32-4/tribromonitrosylruthenium
 - 10323-39-4/4-BROMO-2-TERT-BUTYLPHENOL
 - 68443-49-2/tris(dodecan-1-olato)(propan-2-olato)titanium
 - 109979-16-0/2-Naphthalenol,decahydro-1-isocyano-5-isothiocyanato-2,5-dimethyl-8-[(2R,5S)-tetrahydro-5-(1-isocyano-1-methylethyl)-2-methyl-2-furanyl]-,(1R,2R,4aS,5S,8S,8aS)-rel-(+)-
 - 102206-64-4/2-Pyridineacetic acid, a-hydroxy-a-1-propyn-1-yl-,1-methyl-4-piperidinyl ester
 - 37528-00-0/1,3-Dioxole-2-thione,4,5-dimethyl-
 - 62213-17-6/E.C. 3.2.1
 - 342-24-5/2-Fluorobenzophenone
 - 19283-92-2/2-[(2,4-dinitrophenyl)amino]ethyl benzoate
 - 31451-62-4/25034-71-3
 - 7057-45-6/1-O-acetyl-2-deoxy-3,5-bis-O-(4-nitrobenzoyl)pentofuranose
 - 87892-46-4/2(1H)-Pyrimidinone,4-amino-1-[[2-hydroxy- 1-(hydroxymethyl)ethoxy]methyl]-
 - 29839-74-5/2,2,5,5-tetramethyltetrahydrofuran-3-ol
 - 70354-87-9/S-(3-Chloro-2-methyl-3-oxopropyl) (1)ethanethioate
 - 63916-41-6/1-butyl-4-pyridin-2-ylpiperidin-4-yl propanoate dihydrochloride
 - 145851-29-2/a-D-Glucopyranose, cyclic 4®2:6®2'-[(1S)-3-(5-carboxy-2,3-dihydroxyphenoxy)-4,4',5,5',6,6'-hexahydroxy[1,1'-biphenyl]-2,2'-dicarboxylate]cyclic 2,3-[(1S)-4,4',5,5',6,6'-hexahydroxy[1,1'-biphenyl]-2,2'-dicarboxylate]1-(3,4,5-trihydroxybenzoate), 1-ester with b-D-glucopyranose cyclic 4®2:6®2'-[(1S)-3-(5-carboxy-2,3-dihydroxyphenoxy)-4,4',5,5',6,6'-hexahydroxy[1,1'-biphenyl]-2,2'-dicarboxylate]cyclic 2,3-[(1S)-4,4',5,5',6,6'-hexahydroxy[1,1'-biphenyl]-2,2'-dicarboxylate](9CI)
 - 60872-70-0/N(2)-(7,8,9,10-tetrahydro-7,8,9-trihydroxybenzo(a)pyren-10-yl)guanine
 - 69159-32-6/3-dibenzo[b,e][1,4]oxazepin-5(11H)-yl-3-ethylcyclobutanamine
 - 9025-88-1/E.C. 3.1.2.4
 - 7163-83-9/methyl 3-(3,4-dimethoxyphenyl)-3-(piperidin-1-yl)propanoate hydrochloride (1:1)
 - 3221-61-2/2-Methyloctane
 - 30508-11-3/dibenzo[b,d]thiophene-3,7-diamine 5,5-dioxide
 - 99099-20-4/N-butyl-4-[(N,N-diethylalanyl)amino]benzamide hydrochloride
 - 178879-99-7/1-methyl-3-[methyl(pyridin-3-yl)sulfamoyl]-1H-pyrazole-4-carboxylic acid
 - 137988-18-2/3-(4-nitrophenoxy)-4-oxo-4H-chromen-7-yl acetate
 - 13551-17-2/4-nitrophenyl cyclohexanecarboxylate
 - 141234-21-1/N-butyl-1-methyl-5-oxo-2-phenyl-1,2,3,5-tetrahydroimidazo[1,2-a]pyrimidine-6-carboxamide
 - 21224-75-9/2-[3-(m-Tolyloxy)propyl]aminoethanethiol sulfate
 
