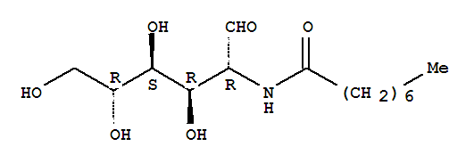
N-octanoylglucosylamine(13287-92-8)
- Name: N-octanoylglucosylamine
- Synonyms:D-Glucose,2-deoxy-2-octanamido- (7CI,8CI); Glucosamine, N-octanoyl- (6CI);N-Octanoyl-D-glucosamine
- Molecular Formula:C14H27 N O6
- Molecular Weight:0
- CAS Registry Number:13287-92-8
- EINECS:
- Melting Point:
- Water Solubility:
Other Product
- 3376-40-7/Benzylphenylhydroxylamine
- 56969-26-7/1-(4-methylphenyl)-4,5-dihydro-1H,3H-1,4-epoxy[1,4]oxazepino[4,3-a]benzimidazole
- 2802-19-9/3-ethoxy-17-hydroxy-6-(trifluoromethyl)pregna-3,5-diene-20-one acetate
- 121927-76-2/4H-1-Benzopyran-3-aceticacid, 2-[(1E)-1-bromo-2-carboxyethenyl]-5-hydroxy-7-(hydroxymethyl)-4-oxo-, a-methyl ester (9CI)
- 126262-27-9/(8aR)-7-(3,4-dimethoxyphenyl)-6-(4-methoxyphenyl)-1,2,3,5,8,8a-hexahydroindolizine
- 6966-30-9/ethyl N-acetyl-beta-oxophenylalaninate
- 69833-24-5/N-(3-methylbutyl)-N-phenylbutanamide
- 80844-54-8/dichloroplatinum(2+) (1,2-diphenylethane-1,2-diyl)diazanide
- 80724-82-9/(3beta,5alpha,16alpha)-16-fluoro-3-hydroxyandrostan-17-one
- 100524-52-5/2-(2-carbamimidoylsulfanylethylamino)ethylsulfanylmethanimidamide trih ydrobromide
- 72869-68-2/Glycerides, C9-11-branched, polymers with phthalic anhydride and trimethylolpropane
- 103667-46-5/3-Tyr-octreotide
- 538-71-6/Domiphen bromide
- 64684-78-2/Oxygenase,acetylaminofluorene 7-mono- (9CI)
- 221684-08-8/Benzoic acid,3-chloro-4,6-dihydroxy-5-methyl-2-[(1E)-1-methyl-1-propen-1-yl]-,3-hydroxy-2-methyl-5-[(1E)-1-methyl-1-propen-1-yl]phenyl ester
- 84522-03-2/2-Ethylhexyl dihydrogen phosphate, compound with morpholine (1:2)
- 157536-36-2/murayalactone
- 8060-63-7/sigmamycin
- 148869-05-0/YM 511
- 13287-92-8/N-octanoylglucosylamine
- 1540-85-8/Dehydrosafynol
- 64042-15-5/2-METHOXY-4-NITROAZOBENZENE
- 160492-58-0/Olean-12-ene-23,28-dioicacid, 3-hydroxy-, 28-(O-b-D-glucopyranosyl-(1®3)-O-[O-b-D-glucopyranosyl-(1®2)-b-D-glucopyranosyl-(1®6)]-b-D-glucopyranosyl) 23-[(2R)-2-hydroxypropyl] ester, (3b,4a)- (9CI)
- 1976-56-3/4,4-diphenyl-1-(piperidin-1-yl)but-3-en-2-ol
- 63307-18-6/[8-fluoro-2-(trifluoromethyl)quinolin-4-yl](piperidin-2-yl)methanol
- 14422-78-7/2-(diethylamino)naphthalene-1,4-dione
- 4928-25-0/N-[(9H-fluoren-9-ylmethoxy)carbonyl]-S-(2,4,6-trimethoxybenzyl)cysteine
- 36285-11-7/Raucaffrinoline
- 51170-87-7/N-(2,4-dichlorophenyl)-4,5-dihydro-3H-pyrrol-2-amine
- 5467-87-8/1-[biphenyl-4-yl(phenyl)methyl]triaza-1,2-dien-2-ium
