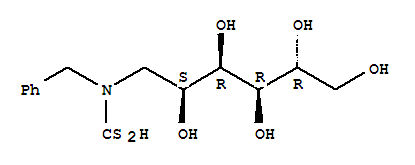
N-benzylglucamine dithiocarbamate(110771-92-1)
- Name: N-benzylglucamine dithiocarbamate
- Synonyms:N-Benzyl-D-glucaminedithiocarbamate; N-Benzyl-N-(dithiocarboxy)-D-glucamine
- Molecular Formula:C14H21 N O5 S2
- Molecular Weight:347.45
- CAS Registry Number:110771-92-1
- EINECS:
- Melting Point:
- Water Solubility:
 
	   Other Product
- 63689-58-7/2,6-DIKETO-15-CROWN-5
- 57626-09-2/1-butyl-2-(2,2-diphenylcyclopropyl)-4,5-dihydro-1H-imidazole ethanedioate (2:1)
- 506-23-0/ALPHA-ELEOSTEARIC ACID
- 104867-27-8/2,2-dimethyl-2,3-dihydro-1-benzofuran-7-yl ({[{(E)-[(4-chloro-2-methylphenyl)imino]methyl}(methyl)amino]sulfanyl}methyl)carbamate
- 6492-81-5/1,4-Benzenedipropanamide,N1,N4-bis(4-chloro-2-methoxy-5-methylphenyl)-b1,b4-dioxo-
- 62991-18-8/1(2H)-Naphthalenone,4-[2-[2-(1,2-dihydroxyethyl) oxiranyl]-2-hydroxyethyl]-3,4,4a,5,6,8ahexahydro- 2-hydroxy-3,4,8,8a-tetramethyl-
- 1991-28-2/6-Acetyl-5-hydroxy-7-methyl-1,4-naphthoquinone
- 33878-50-1/BENZOYLPROP-ETHYL
- 71735-65-4/Tetrasodium (8-hydroxy-7-((2-hydroxy-7-sulpho-6-((4-((2,5,6-trichloro-4-pyrimidinyl)amino)phenyl)azo)-1-naphthyl)azo)naphthalene-1,3,6-trisulphonato(6-))cuprate(4-)
- 168434-89-7/Cyclopenta[b][1]benzopyran-9(1H)-one,2,3-dihydro-1,8-dihydroxy-6-methyl-, (1R)-
- 6938-68-7/2-Methyl-3-thiosemicarbazide
- 68400-17-9/formaldehyde; furan-2-carbaldehyde; 2-hydroxypropanoic acid; phenol
- 678-77-3/HEXAFLUOROGLUTARYL CHLORIDE
- 72894-02-1/10H-Phenothiazine
- 1402-45-5/Actinomycin F2
- 83380-82-9/SERUM SPREADING FACTOR
- 42176-46-5/N-[1-(3,4-dichlorophenyl)propyl]-2-piperidin-1-ylacetamide
- 175013-84-0/TONABERSAT
- 110771-92-1/N-benzylglucamine dithiocarbamate
- 49615-96-5/1-(3-AMINO-1-BENZOFURAN-2-YL)ETHANONE
- 20954-12-5/p-[3-[2-(Dimethylamino)ethoxy]-1H-indazol-1-yl]benzoic acid butyl ester
- 63825-14-9/5-(5-(4-Chlorophenyl-2-furanyl))dihydro-2(3H)-furanone
- 93948-25-5/4-methyl-1,1-diphenylpentan-3-amine
- 6425-08-7/4,4 -Benzylidendimorpholine
- 64381-89-1/6-(aziridin-1-yl)-1,3,5-triazine-2,4-diamine
- 53-45-2/3-DEOXYESTRONE
- 91696-76-3/Benzenesulfonic acid, 2,2-(1,2-ethenediyl)bis(5-nitro-, reaction products with 4-((4-amino-5-methoxy-2-methylphenyl)azo)benzenesulfonic acid, partially reduced, sodium salts
- 89-87-2/4-Nitro-1,3-dimethylbenzene
- 178870-53-6/tert-butyl [(2-chloro-5-{[(2-methylfuran-3-yl)carbonothioyl]amino}phenyl)sulfanyl]acetate
- 52913-45-8/N-Methyl-N-(chlorothio)-p-toluenesulfonamide

 
               
       