Current position:Home >Product >
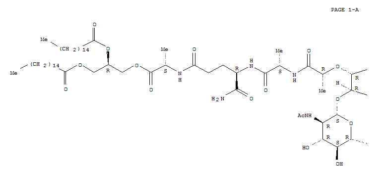
N-acetylglucosamine-N-acetylmuramyl-alanyl-isoglutaminyl-alanyl-glycerol dipalmitoyl
N-acetylglucosamine-N-acetylmuramyl-alanyl-isoglutaminyl-alanyl-glycerol dipalmitoyl(130114-83-9)
- Name: N-acetylglucosamine-N-acetylmuramyl-alanyl-isoglutaminyl-alanyl-glycerol dipalmitoyl
- Synonyms:N-acetylglucosamine-N-acetylmuramyl-alanyl-isoglutaminyl-alanyl-glycerol dipalmitoyl
- Molecular Formula:C65H116 N6 O21
- Molecular Weight:1317.64
- CAS Registry Number:130114-83-9
- EINECS:
- Melting Point:
- Water Solubility:
Other Product
- 43166-20-7/Spiro(7H-benzo(de)quinoline-7,4-imidazolidine)-2,5-dione, 1,2,3,8,9,9a-hexahydro-5,6-dihydroxy-1-methyl-3-propionyl-, dipropionate, monohydrochloride, trans-
- 59656-79-0/6,12-Methanobenzo[b]naphth[2,1-e]azocine,5,6,- 7,12-tetrahydro-
- 24687-35-2/hydrogen-2-[2-[[5-methoxy-3-(3-sulphonatopropyl)-3H-benzoselenazol-2-ylidene]methyl]but-1-enyl]-5,6-dimethyl-3-(3-sulphonatopropyl)benzothiazolium
- 217813-59-7/9,19-Cycloergosta-7,24(28)-diene-4-carboxylicacid, 3,11-dihydroxy-4-methyl-1-oxo-, (3b,4a,5a,11a)- (9CI)
- 172882-00-7/phenyl N-(2-chloroethyl)-P-[7-(2-chloroethyl)-1,5-dimethyl-9-oxo-3,7-diazabicyclo[3.3.1]non-3-yl]phosphonamidoate
- 133401-12-4/KUANONIAMINE C
- 15621-60-0/[(2R,3S,4R,5R)-5-(6-aminopurin-9-yl)-4-hydroxy-2-[[hydroxy-[hydroxy-[(3R)-3-hydroxy-2,2-dimethyl-3-[2-[2-(2-methylpropanoylsulfanyl)ethylcarbamoyl]ethylcarbamoyl]propoxy]phosphoryl]oxy-phosphoryl]oxymethyl]oxolan-3-yl]oxyphosphonic acid
- 49579-48-8/6-fluoro-2-methyl-3-[3-(trifluoromethyl)phenyl]quinazoline-4(3H)-thione
- 15623-99-1/N,N-diethyl-2-{4-[(2R,3R)-3-(4-methoxyphenyl)butan-2-yl]phenoxy}ethanamine hydrochloride (1:1)
- 211300-38-8/Urs-12-ene-2,3-diol,(2R,3â,18R)-
- 104195-17-7/SDZ NVI-085
- 26227-94-1/3-(p-Pentoxyphenyl)-2-propenehydroxamic acid
- 93062-90-9/Santalum yasi, ext.
- 57137-34-5/praseodymium cyanide
- 181048-36-2/MS 31-038
- 149355-65-7/6H,13aH-1,3a-Ethano-3,5a-methano-1H,3H-indolo[2,3-h]pyrrolo[3,2,1-ij][3,1]benzoxazine-6,14-dicarboxylicacid, 15-ethoxy-4,5,11,12-tetrahydro-14-hydroxy-7-methoxy-, dimethyl ester,(1S,3R,3aS,5aS,10bR,13aR,14R,15S)- (9CI)
- 91045-35-1/2-(2-nitrophenoxy)-3-{2-[1-(piperidin-1-ylmethyl)-1H-benzimidazol-2-yl]phenyl}quinazolin-4(3H)-one
- 69239-36-7/3-(4-{4-[(1,7,7-trimethylbicyclo[2.2.1]hept-2-yl)oxy]phenyl}butyl)-1,3-thiazolidine hydrochloride
- 130114-83-9/N-acetylglucosamine-N-acetylmuramyl-alanyl-isoglutaminyl-alanyl-glycerol dipalmitoyl
- 4076-02-2/Sodium 2,3-dimercapto-1-propanesulfonate
- 25007-54-9/dimethyl 2-oxobutanedioate
- 53156-46-0/9-(DIMETHYLAMINO)FLUORENE
- 18961-96-1/Dichlorophenoxysulfanylidene phosphorane
- 106455-44-1/7-({[(3S)-2,3-dihydroxy-2-(propan-2-yl)butanoyl]oxy}methyl)-2,3,5,7a-tetrahydro-1H-pyrrolizinium chloride
- 84272-08-2/(3R)-1,2,3,9-tetrahydropyrrolo[2,1-b]quinazolin-3-yl decanoate
- 71118-02-0/15,17-dihydroxyprogesterone
- 11129-37-6/Hafnium carbide
- 3333-62-8/7-(2H-naphtho[1,2-d]triazol-2-yl)-3-phenyl-2-benzopyrone
- 2161-40-2/alpha-Methoxytropone
- 68988-73-8/Formaldehyde, polymer with piperazine, reaction products with 3-(dimethylamino)-1-propanamine and epichlorohydrin
