Current position:Home >Product >
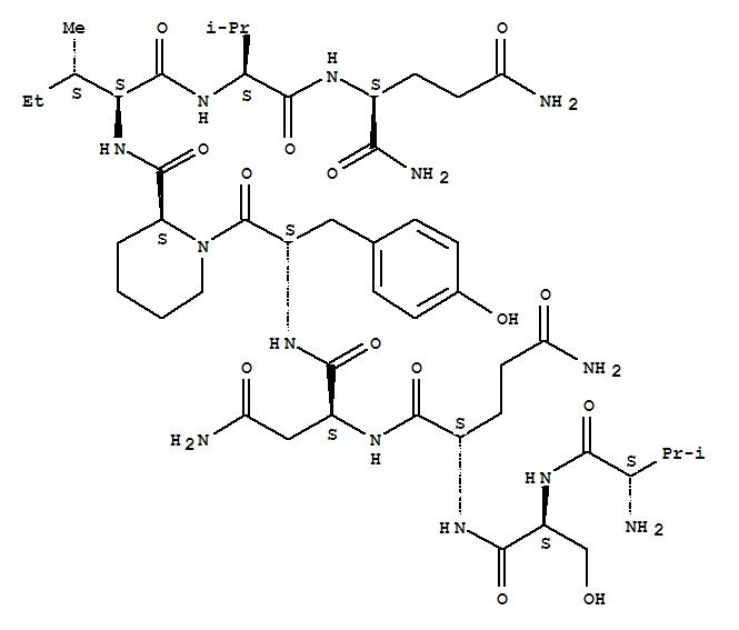
N-{[(2S)-1-(L-valyl-L-seryl-L-glutaminyl-L-asparaginyl-L-tyrosyl)piperidin-2-yl]carbonyl}-L-isoleucyl-L-valyl-L-glutamamide
N-{[(2S)-1-(L-valyl-L-seryl-L-glutaminyl-L-asparaginyl-L-tyrosyl)piperidin-2-yl]carbonyl}-L-isoleucyl-L-valyl-L-glutamamide(129083-62-1)
- Name: N-{[(2S)-1-(L-valyl-L-seryl-L-glutaminyl-L-asparaginyl-L-tyrosyl)piperidin-2-yl]carbonyl}-L-isoleucyl-L-valyl-L-glutamamide
- Synonyms:L-Glutamamide,L-valyl-L-seryl-L-glutaminyl-L-asparaginyl-L-tyrosyl-L-2-piperidinecarbonyl-L-isoleucyl-L-valyl-;SP 346
- Molecular Formula:C48H77 N13 O14
- Molecular Weight:1060.2037
- CAS Registry Number:129083-62-1
- EINECS:
- Melting Point:
- Water Solubility:
Other Product
- 204838-47-1/Caeridin 1.6
- 92111-04-1/3-[[bis(2-chloroethyl)amino-phenoxy-phosphoryl]amino]propan-1-ol
- 69244-25-3/isotiazofurin
- 56222-03-8/3,7-Dihydroxy-15,16,17-trimethoxytricyclo[12.3.1.12,6]nonadeca-1(18),2,4,6(19),14,16-hexen-9-one
- 3262-86-0/4,5-bis(acetoxymethyl)-2-methyl-3-pyridyl laurate hydrochloride
- 10589-57-8/2,6,10,14,18,22,26,30,34,38,42,46-Octatetracontadodecaen-1-ol,3,7,11,15,19,23,27,31,35,39,43,47-dodecamethyl-
- 163860-15-9/2,4-Thiazolidinedione,5-[[4-[2-(methyl-2-pyridinylamino)ethoxy]phenyl]methyl]-, (5S)-
- 74427-02-4/6-[N,N-bis(2-chloroethyl)glycyl]-2-hydroxy-10-methoxy-5,6,6a,7-tetrahydro-4H-dibenzo[de,g]quinolin-11-yl acetate
- 24968-79-4/ACRYLONITRILE-METHYL ACRYLATE COPOLYMER
- 90268-98-7/Carbonic acid disodium salt, reaction products with aniline, 4-nitrobenzenamine, p-phenylenediamine, sodium sulfide, sulfur and p-toluidine
- 104880-54-8/Methanol,[[6-(methylamino)-1,3,5-triazine-2,4-diyl]bis(methylimino)]bis- (9CI)
- 93780-96-2/(1aR,2R,3S,13cS)-1a,2,3,13c-tetrahydrobenzo[c][1]benzoxireno[2,3-h]acridine-2,3-diol
- 62052-51-1/4-({2-[2-ethoxy-1-(ethoxycarbonyl)-2-oxoethylidene]-1,3-dithiolan-4-yl}oxy)-4-oxobutanoic acid
- 90193-98-9/1,2-Benzenedicarboxylic acid, sulfonated, potassium salts
- 53495-39-9/5-bromo-2'-deoxy-6-ethoxy-5,6-dihydro-beta-ribofuranosylthymine
- 5649-93-4/Bicyclo[4.2.2]dec-9-ene-7,8-dicarboxylicanhydride
- 150050-21-8/(3R,4aR,12bS)-4a,8,12b-trihydroxy-9-{5-[(5-hydroxy-6-methyltetrahydro-2H-pyran-2-yl)oxy]-6-methyltetrahydro-2H-pyran-2-yl}-3-methyl-3-[(6-methyl-5-oxo-5,6-dihydro-2H-pyran-2-yl)oxy]-3,4,4a,12b-tetrahydrotetraphene-1,7,12(2H)-trione
- 129083-62-1/N-{[(2S)-1-(L-valyl-L-seryl-L-glutaminyl-L-asparaginyl-L-tyrosyl)piperidin-2-yl]carbonyl}-L-isoleucyl-L-valyl-L-glutamamide
- 617-63-0/Pentanoic acid, 4,5-diamino-5-oxo-, (+-)-
- 968-59-2/4-(Diethylamino)-1,1-diphenyl-2-butyn-1-ol
- 7240-15-5/4,4-dimethyl-delta(8)-cholestenol
- 7390-56-9/5-METHYL-2-THIOCYTOSINE
- 67049-53-0/1-{3-[(2-hydroxybenzoyl)oxy]propyl}-2,4-dimethylpiperidinium chloride
- 15735-67-8/(~214~Po)polonium
- 7495-99-0/6,12-dinitrochrysene
- 10256-14-1/Propanediamide,N1,N3,2-triphenyl-
- 466-10-4/3-[(6-deoxy-2-O-hexopyranosyl-3-O-methylhexopyranosyl)oxy]-14-hydroxycard-20(22)-enolide
- 6301-52-6/3-(biphenyl-3-yl)cyclohex-2-en-1-one
- 76622-76-9/N-(4-{[(2-amino-4-oxo-1,4-dihydropyrido[3,2-d]pyrimidin-6-yl)methyl](formyl)amino}benzoyl)glutamic acid
- 131865-94-6/2-(2-(4-methylphenyl)ethoxy)adenosine
