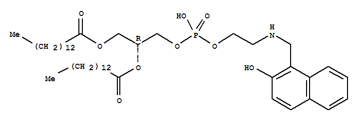
N-(1-(2-naphthol))phosphatidylethanolamine(143023-13-6)
- Name: N-(1-(2-naphthol))phosphatidylethanolamine
- Synonyms:Tetradecanoicacid, 1-[3-hydroxy-8-(2-hydroxy-1-naphthalenyl)-2,4-dioxa-7-aza-3-phosphaoct-1-yl]-1,2-ethanediylester, P-oxide, (R)-
- Molecular Formula:C44H74 N O9 P
- Molecular Weight:792.033421
- CAS Registry Number:143023-13-6
- EINECS:
- Melting Point:
- Water Solubility:
Other Product
- 5456-57-5/3-({[4-(difluoromethoxy)phenyl]methylidene}hydrazono)-1-prop-2-en-1-yl-1,3-dihydro-2H-indol-2-one
- 89752-52-3/4-Thiazolidinone, 3-(((2-ethoxyphenyl)amino)methyl)-5-((4-hydroxy-3-methoxyphenyl)methylene)-2-thioxo-
- 6944-10-1/N-{2-amino-6-[(3-methylbutyl)amino]-4-oxo-1,4-dihydropyrimidin-5-yl}formamide
- 110736-59-9/Oxirane,ethyl-,polymer with oxirane,monobutyl ether,block
- 12269-97-5/C.I. Acid Orange 128(9CI)
- 93858-33-4/(8Z,9Z,11Z,12Z)-N-[2-[4,5-dihydro-2-(heptadeca-8,11-dienyl)-1H-imidazol-1-yl]ethyl]octadeca-9,12-dien-1-amide
- 69039-68-5/Di-mu-chlorobis(1,5-cyclooctadiene)di(rhodium)
- 32664-98-5/2,2'-(1,2-Ethenediyl)bis[5-[(6-amino-1,4-dihydro-4-oxo-1,3,5-triazin-2-yl)amino]benzenesulfonic acid sodium] salt
- 85005-55-6/2-(Isononylphenoxy)ethanol
- 22705-94-8/3-(2,2-dimethylhydrazinyl)propanenitrile
- 89576-78-3/Verrucarin A,2',3'-didehydro-7'-deoxo-2'- deoxy-7'-(1-hydroxyethyl)-
- 9059-31-8/BETA-TYROSINASE, >1.4 U/MG PROTEIN
- 146990-20-7/Id-2 protein
- 362603-93-8/2,5-Furandione, dihydro-, polymer with 1,1-iminobis(2-propanol)
- 71526-45-9/2-(4-methoxybenzyl)-1-(4-methoxyphenyl)butyl acetate
- 37341-09-6/Propanoic acid,2-(2,4-dichlorophenoxy)-,mixt. with 3-(1-methylethyl)-1H-2,1,3- benzothiadiazin-4(3H)-one 2,2-dioxide
- 10297-73-1/4-Methylsulphonylacetophenone
- 38512-82-2/5-METHYL-2-NITROANISOLE
- 143023-13-6/N-(1-(2-naphthol))phosphatidylethanolamine
- 96507-79-8/isoundecyl undecyl phthalate
- 32155-21-8/640C46
- 60164-73-0/Amylopectin, acetate
- 70914-42-0/N-Cocotrimethylenediamine dibenzoate
- 5030-67-1/2,5-dichloro-3,6-bis(phenylamino)cyclohexa-2,5-diene-1,4-dione
- 73807-18-8/Amides, naphthenic, N,N-bis[2-(4,5-dihydro-2-nortall-oil alkyl-1H-imidazol-1-yl)ethyl]
- 58752-82-2/Ergotaman-3',6',18-trione,6-demethyl-9,10- dihydro-12'-hydroxy-2'-methyl-5',6-bis(1- methylethyl)-,(5'R,10R)-
- 7235-06-5/erbium(+3) cation hexaisothiocyanate
- 7236-16-0/4-bromo-N-methylidyneanilinium
- 65390-80-9/sodium 4-oxo-2-phenyl-4H-1,3-thiazin-5-olate
- 84501-47-3/Copper, (29H,31H-phthalocyaninato(2-)-N29,N30,N31,N32)-, ((((((2-methoxy-5-((2-(sulfooxy)ethyl)sulfonyl)phenyl)amino)carbonyl)amino)methyl)amino)sulfonyl sulfo ((2-(sulfooxy)ethyl)amino)sulfonyl derivs., tetrasodium salts
