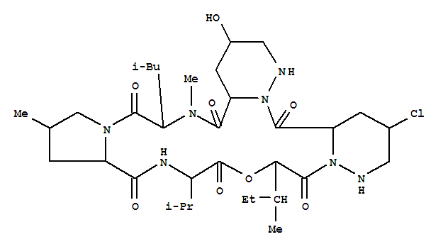
Monamycin H1 (8CI,9CI)(31594-06-6)
- Name: Monamycin H1 (8CI,9CI)
- Synonyms:2H-Dipyridazino[1,6-d:1',6'-g]pyrrolo[1,2-m][1,4,7,10,13,16]oxapentaazacyclooctadecine,cyclic peptide deriv.; D-Valine, N-[1-[N-[[2-[[D-trans-5-chlorohexahydro-2-(L-erythro-2-hydroxy-3-methyl-1-oxopentyl)-3-pyridazinyl]carbonyl]-L-hexahydro-cis-5-hydroxy-3-pyridazinyl]carbonyl]-N-methyl-D-leucyl]-trans-4-methyl-L-prolyl]-,p-lactone;N-[1-[N-[[2-[[D-trans-5-Chlorohexahydro-2-(L-erythro-2-hydroxy-3-methyl-1-oxopentyl)-3-pyridazinyl]carbonyl]-L-hexahydro-cis-5-hydroxy-3-pyridazinyl]carbonyl]-N-methyl-D-leucyl]-trans-4-methyl-L-prolyl]-D-valinep-lactone
- Molecular Formula:C34H56 Cl N7 O8
- Molecular Weight:
- CAS Registry Number:31594-06-6
- EINECS:
- Melting Point:
- Water Solubility:
Other Product
- 13963-59-2/DIETHYLDITHIOCARBAMIC ACID FERRIC SALT
- 51370-16-2/1,1-(Oxydimethylene)bis(3-(methylsulfonyl)pyridinium chloride)
- 89-71-4/Methyl o-toluate
- 1858-26-0/Thiophosphoryl isothiocyanate
- 101931-30-0/(4-propan-2-yloxynaphthalen-1-yl)methylazanium bromide
- 154039-60-8/Marimastat
- 2199-52-2/Ethyl2,5-dimethylpyrrole-3-carboxylate
- 126830-80-6/2-oxo-2-(4,5,6,7-tetrahydro-1,3-benzothiazol-2-ylamino)ethyl piperidine-1-carbodithioate
- 2923-66-2/3-Chloro-4-fluoroacetophenone
- 28302-62-7/[(2R,3R,4R,5R)-5-(5-amino-2,4,9-triazabicyclo[4.3.0]nona-1,3,5,7-tetra en-9-yl)-3,4-dihydroxy-oxolan-2-yl]methoxyphosphonic acid
- 4082-41-1/2-methyl-1,1-diphenyl-3-(4-phenylpiperazin-1-yl)propan-1-ol
- 64594-05-4/Benzenecarboximidamide,4-methoxy-N-methyl-N'-phenyl-, monohydrochloride (9CI)
- 12219-99-7/C.I. Acid Green 82(8CI,9CI)
- 428863-50-7/Unii-umd07X179e
- 54473-70-0/Hexanedioic acid bis[3-bromo-2,2-bis(bromomethyl)propyl] ester
- 142795-95-7/6,7a(2H)-Benzofurandiol,hexahydro-5-methoxy-3-methyl-3a-(2-propenyl)-2-(3,4,5-trimethoxyphenyl)-,(2R,3S,3aR,5R,6S,7aS)-rel-(+)- (9CI)
- 3570-61-4/Sulfuric acid 2-(2,4,5-trichlorophenoxy)ethyl(sodium) salt
- 61775-27-7/Benzene, 1,1-(1,2-ethanediyl)bis(3-phenoxy-
- 31594-06-6/Monamycin H1 (8CI,9CI)
- 68442-88-6/Behenic acid, stearic acid, tetraethylene pentamide docosanoic acid, reaction products with stearic acidand
- 160986-39-0/[1,1'-Biphenyl]-2-carboxylicacid, 2'-[[[4-[[2-(4-bromophenyl)-2-oxoethyl]sulfonyl]phenyl]amino]carbonyl]-
- 36050-28-9/4-(2,2-dimethylpropyl)phenyl thiophene-2-carboxylate
- 98519-37-0/1-{[2-(1-benzofuran-2-yl)-5-butyl-5-ethyl-1,3-dioxan-2-yl]methyl}-1H-1,2,4-triazole
- 41059-87-4/Stemonone
- 3564-07-6/quebrachitol
- 139018-59-0/Phosphorobromidoselenoic acid
- 3004-93-1/2-METHYLOCTANOIC ACID
- 83889-88-7/(2R,3S,4R,5R,6S)-2-(hydroxymethyl)-3-methyl-6-[(4aS,7aR)-1,4a,5,7a-tetrahydrocyclopenta[c]pyran-1-yloxy]tetrahydro-2H-pyran-2,3,4,5-tetrol (non-preferred name)
- 17095-88-4/2-(diethylamino)cyclohexyl (2-chloro-6-methylphenyl)carbamate hydrochloride (1:1)
- 67293-23-6/3,4-Dimethoxybenzoic acid 4-(ethylphenethylamino)butyl ester
