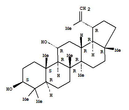
Lup-20(29)-ene-3,11-diol,(3b,11a)-(79383-36-1)
- Name: Lup-20(29)-ene-3,11-diol,(3b,11a)-
- Synonyms:1H-Cyclopenta[a]chrysene,lup-20(29)-ene-3,11-diol deriv.; Lup-20(29)-ene-3b,11a-diol; Nepeticin
- Molecular Formula:C30H50 O2
- Molecular Weight:
- CAS Registry Number:79383-36-1
- EINECS:
- Melting Point:
- Water Solubility:
Other Product
- 5419-26-1/1-(4-chloronaphthalen-1-yl)-2-(dihexylamino)ethanol
- 96915-50-3/2-Oxepanone, homopolymer, (tetrahydro-2-furanyl)methyl ester, 2-propenoate
- 1719-88-6/3,4,5-TRIMETHOXYBENZOIC ANHYDRIDE
- 68410-32-2/Fatty acids, tall-oil, polymers with diethylenetriamine, linoleic acid dimer, triethylenetetramine and 2,4,6-tris((dimethylamino)methyl)phenol
- 23200-41-1/dimethyl 5,6-dibromo-7-oxabicyclo[2.2.1]heptane-2,3-dicarboxylate
- 83930-03-4/disodium 6-methyl-2'-[4-[[4-(6-methyl-7-sulphonatobenzothiazol-2-yl)phenyl]-NNO-azoxy]phenyl][2,6'-bibenzothiazole]-7-sulphonate
- 84777-47-9/Hexanedioic acid, mixed esters with 3-hydroxy-2,2-dimethylpropyl 3-hydroxy-2,2-dimethylpropanoate, isodecanol and neopentyl glycol
- 157622-60-1/26,27-Dinorcholest-9(11)-ene-2,3,4,6-tetrol,24-(3-furanyl)-14-methyl-, 2,3,6-tris(hydrogen sulfate), trisodium salt, (2b,3a,4b,5a,6a)- (9CI)
- 60725-69-1/2-(4-methoxyphenyl)tetrahydroimidazo[1,5-a]pyridine-1,3(2H,5H)-dione
- 6494-92-4/1,3,5-Triazine-2,4-diamine,N2,N4-diethyl-6-[(4-methylphenyl)thio]-
- 62197-62-0/2-Methyl-2-butenoic acid [decahydro-8-hydroxy-7-hydroxymethyl-1a,3b-dimethyl-6-oxo-3H-bisoxireno[3,3a:7,8]azuleno[6,5-b]furan-2-yl] ester
- 57728-61-7/(3-METHOXY-BENZOYLAMINO)-ACETIC ACID
- 84145-75-5/3,7-Diaminophenothiazin-5-ium tetraphenylborate
- 93924-92-6/Calcium, branchedstearate carbonate complexes
- 39837-89-3/Propanoic acid,3,3'-[methylenebis(oxy)]bis-, diethyl ester (9CI)
- 71173-16-5/1,1,3,3-tetraethyl-2-prop-2-enyl-isoindol-5-amine
- 88483-99-2/hydrogen platinum(2+) 1-hydroxypropane-1,2,3-tricarboxylate - cyclohexane-1,2-diamine (1:1:1:1) (non-preferred name)
- 97925-96-7/Glycine, N-(C12-22-alkylsulfonyl) derivs., bis(2,2-iminobis(ethanolato)(2-)-O,O)borate(1-), compds. with diethanolamine
- 68516-76-7/1-[(2,4-dimethylphenyl)amino]-4-[(2,4,6-trimethylphenyl)amino]anthraquinone
- 79383-36-1/Lup-20(29)-ene-3,11-diol,(3b,11a)-
- 18318-53-1/Ethanone,1-[(3R,3aR,5R,7aS)-octahydro-3-hydroxy-7a-methyl-5-(1-methylethenyl)-3aH-inden-3a-yl]-
- 37720-83-5/(4S)-Kaur-15-ene-3α,7β,19-triol 19-acetate
- 90506-57-3/Phosphoric acid, bis(C8-18 and C18-unsatd. branched and linear alkyl) esters, compds. with diethanolamine
- 30881-04-0/Methanimidamide,N,N'-bis(2-chlorophenyl)-
- 5324-79-8/1-bromo-2-(phenylsulfonyl)benzene
- 777-28-6/3-(2,4-difluorophenoxy)propanoic acid
- 78413-38-4/Agarose, (2-((3-carboxy-1-oxopropyl)amino)ethyl)carbamimidate
- 67874-06-0/2-Methyl-2-[(octanoyloxy)methyl]-1,3-propanediol dioctanoate
- 69037-47-4/ethyl 2-{[1-(2-phenylethyl)piperidin-4-yl](propanoyl)amino}benzoate hydrochloride
- 64788-24-5/1,5,5,5-Tetrafluoro-1,3-pentadiyne
