Current position:Home >Product >
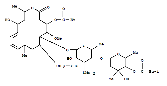
Leucomycin V,9,10-didehydro-9-deoxy-10,13-dihydro-13-hydroxy-, 4B-(3-methylbutanoate)3-propanoate (9CI)
Leucomycin V,9,10-didehydro-9-deoxy-10,13-dihydro-13-hydroxy-, 4B-(3-methylbutanoate)3-propanoate (9CI)(11076-81-6)
- Name: Leucomycin V,9,10-didehydro-9-deoxy-10,13-dihydro-13-hydroxy-, 4B-(3-methylbutanoate)3-propanoate (9CI)
- Synonyms:AntibioticYL 704A2 (8CI); Oxacyclohexadecane, leucomycin V deriv.; YL 704A2
- Molecular Formula:C43H71 N O15
- Molecular Weight:
- CAS Registry Number:11076-81-6
- EINECS:
- Melting Point:
- Water Solubility:
Other Product
- 68002-39-1/Poly(oxy(methyl-1,2-ethanediyl)), alpha-hydro-omega-hydroxy-, polymer with 1,3-diisocyanatomethylbenzene, hydroxy-terminated
- 6415-96-9/1,3,5-Triazine-2,4,6-triamine,N2-[4-(dihydroxyoxidostibino)phenyl]-, sodium salt, hydrate (1:1:8)
- 74605-28-0/ethericin B
- 79306-70-0/3-(2-methoxyphenoxy)-N,2-dimethylpropan-1-amine (2E)-but-2-enedioate
- 7518-98-1/4-[(1,3-dioxo-1,3-dihydro-2H-isoindol-2-yl)methyl]benzenesulfonamide
- 208663-97-2/5-Azuleneacetic acid,8-(acetyloxy)-1,2,4,5,6,7,8,- 8a-octahydro-R,3,8-trimethyl-2-oxo-,(5R,- 8R)-
- 5379-55-5/N-(4-bromophenyl)-N-cyclopentyl-oxamide
- 154496-63-6/N,N,6-trimethyl-2-(propan-2-ylsulfanyl)pyrimidin-4-amine
- 34688-70-5/PENTAMETHYLPHENYLACETONITRILE
- 86273-33-8/5,7,7-trimethyl-2,5,6,7-tetrahydro-3H-pyrrolo[1,2-a]imidazole
- 81078-82-2/4-(1-Piperazinyl)-5-aza-6-methylbenzofuran maleate
- 93762-46-0/1,2-Benzenedicarboxylic acid, mixed esters with 1,4-butanediol, ethylene glycol, 3-methyl-1,5-pentanediol and neopentyl glycol
- 110525-54-7/4-(2-METHYL-IMIDAZOL-1-YL)-BUTYRIC ACID
- 42017-89-0/Fenofibric acid
- 68917-89-5/Cashew, nutshell liq, polymer with butadiene, formaldehyde, phenol, styrene, p-toluenesulfonic acid and vinyltoluene
- 13465-34-4/MERCUROUS CHROMATE
- 7749-61-3/5-Chloro-4,6-dimethylpyrimidine-2-amine
- 73927-58-9/N-Allyl-1-[p-(cyclohexyloxy)phenyl]ethanamine
- 76172-68-4/4-METHOXY-2',4',6'-TRIHYDROXYDIHYDROCHALCONE
- 11076-81-6/Leucomycin V,9,10-didehydro-9-deoxy-10,13-dihydro-13-hydroxy-, 4B-(3-methylbutanoate)3-propanoate (9CI)
- 30120-95-7/3-methyl-N-{(1E)-3-methyl-2-(naphthalen-1-yl)-2-[2-(piperidin-1-yl)ethyl]butylidene}-2-(naphthalen-1-yl)-2-[2-(piperidin-1-yl)ethyl]butan-1-amine
- 62886-02-6/(2R)-N-benzyl-2-[(2-methylpropanoyl)amino]-N-nitroso-3-phenylpropanamide (non-preferred name)
- 87075-47-6/2',3'-dialdehyde NADP
- 25561-34-6/4'-Nitro-α-(piperidinoimino)acetophenone
- 26844-11-1/N-benzyl-1-[2-(1H-indol-3-yl)ethyl]piperidin-4-amine
- 169527-40-6/FG 5909
- 103531-05-1/1-epidactimicin
- 121608-37-5/(5Z)-1-(2,6-dichlorophenyl)-3-(4-morpholin-4-ylphenyl)-5-[(2E)-3-phenylprop-2-en-1-ylidene]-2-thioxodihydropyrimidine-4,6(1H,5H)-dione
- 50926-41-5/Maridomycin, dodecyl sulfate
- 71130-49-9/(p-aminophenyl)diethylammonium toluene-4-sulphonate
