Current position:Home >Product >
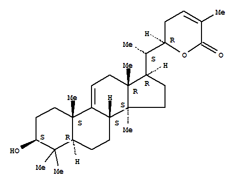
Lanosta-9(11),24-dien-26-oicacid, 3,22-dihydroxy-, d-lactone, (3b,22R)-(9CI)
Lanosta-9(11),24-dien-26-oicacid, 3,22-dihydroxy-, d-lactone, (3b,22R)-(9CI)(154992-38-8)
- Name: Lanosta-9(11),24-dien-26-oicacid, 3,22-dihydroxy-, d-lactone, (3b,22R)-(9CI)
- Synonyms:Schisanol
- Molecular Formula:C30H46 O3
- Molecular Weight:
- CAS Registry Number:154992-38-8
- EINECS:
- Melting Point:
- Water Solubility:
Other Product
- 69525-81-1/MORANTEL CITRATE MONOHYDRATE
- 50280-01-8/8-methyl-5-(thiophen-2-ylcarbonyl)-6,7,8,9-tetrahydro-5H-[1,3]dioxolo[4,5-f]pyrido[4,3-b]indol-8-ium chloride
- 82489-03-0/4-methyl-2-(trifluoromethyl)pyrimido[1,2-a]benzimidazole
- 96722-63-3/ethyl (2Z)-chloro[2-(3,4-dimethylphenyl)hydrazinylidene]ethanoate
- 72549-07-6/1H-Indole-2-carboxamide, 4-chloro-N-(2-(ethylimino)-4-oxo-3-thiazolidi nyl)-
- 93685-51-9/Castor oil, acetylated, sulfated, sodium salt
- 5923-95-5/N-[(4-chlorophenyl)(8-hydroxyquinolin-7-yl)methyl]butanamide
- 147977-80-8/Carboxylic acids, C6-18and C4-15-di-, polymers with ethylene glycol and 2-ethyl-1-hexanol
- 102647-85-8/Antibiotic 24, fromStreptomyces roseochromogenes (9CI)
- 101377-34-8/1,19-bis(oxiranyl)-8,16-bis(oxiranylmethoxy)-2,6,10,14,18-pentaoxanonadecane-4,12-diol
- 5450-53-3/4-[3,5-bis(2,2-dimethylpropyl)-4-oxo-1-cyclohexa-2,5-dienylidene]-2,6-bis(2,2-dimethylpropyl)cyclohexa-2,5-dien-1-one
- 129350-17-0/Cyclohexanol,5-[1-[[2-(1H-indol-3-yl)ethyl]amino]-1-methylethyl]-2-methyl- (9CI)
- 167906-74-3/Bicyclo[9.3.1]pentadeca-3,8,14-triene-2,3,5,7,10,13-hexol,8-[(acetyloxy)methyl]-4,14,15,15-tetramethyl-, 2,3,5,10,13-pentaacetate,(2R,3E,5S,7S,8E,10S,11R,13S)-
- 126188-78-1/2-Propenoic acid,2-methyl-,esters,trifluoroethyl ester,polymer with 2-propenoic acid
- 154992-38-8/Lanosta-9(11),24-dien-26-oicacid, 3,22-dihydroxy-, d-lactone, (3b,22R)-(9CI)
- 70321-82-3/4-[[2-(Aminocarbonyl)-5-methoxyphenyl]azo]-3-hydroxy-N-(4-methoxyphenyl)-2-naphthalenecarboxamide
- 18283-31-3/2-ethyl-2-fluoropropanediamide
- 30377-13-0/2-methyl-4,6-bis(4-methylphenyl)-1,3,5-triazine
- 171440-22-5/B 1086
- 4424-82-2/1-{[2-(2-hydroxyethoxy)ethyl]amino}-4-(methylamino)anthracene-9,10-dione
- 90064-29-2/Nectandra coto, ext.
- 52689-24-4/1H-Indene, 5-ethyl-2,3-dihydro-
- 174423-43-9/Win 64709
- 75852-52-7/5-Chloro-4'-methoxy-3-biphenylacetic acid
- 51707-31-4/AF/K 93410
- 97-07-4/4-Chloro-3-nitrophenyl methyl sulfone
- 4091-99-0/2' 7'-DICHLOROFLUORESCIN DIACETATE FOR&
- 6947-11-1/diethyl oxydiethane-2,1-diyl biscarbonate
- 210968-85-7/Phosphonium,[4-[[1,3-bis(dicyanomethylene)-2,- 3-dihydro-1H-inden-2-yl][4-[bis(2-ethylhexyl) amino]phenyl]amino]butyl]triphenyl-
- 94232-28-7/L-glutamic acid, compound with 5-[(3,4,5-trimethoxyphenyl)methyl]pyrimidine-2,4-diamine (1:1)
