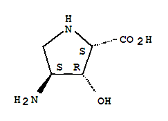
L-Proline, 4-amino-3-hydroxy-, (3R,4S)- (9CI)(202473-21-0)
- Name: L-Proline, 4-amino-3-hydroxy-, (3R,4S)- (9CI)
- Synonyms:L-Proline, 4-amino-3-hydroxy-, (3R,4S)- (9CI)
- Molecular Formula:C5H10 N2 O3
- Molecular Weight:146.1445
- CAS Registry Number:202473-21-0
- EINECS:
- Melting Point:
- Water Solubility:
Other Product
- 202529-13-3/3-METHYLPYRIDINE-D7
- 202529-03-1/TRIDECANOIC-D25 ACID
- 202528-95-8/HEPTADECANOIC-17,17,17-D3 ACID
- 202524-01-4/1-Pyrrolidinecarboxylicacid,3-hydroxy-(9CI)
- 202522-21-2/Benzaldehyde, 2,5-dimethyl-, oxime (9CI)
- 202522-04-1/Benzonitrile, 3-ethyl-4-formyl- (9CI)
- 202522-00-7/2,4,6-Trimethylbenzylamine / 2,4,6-Trimethylbenzylamine hydrochloride
- 202521-88-8/3-Cyclobutene-1,2-dione,3-[(1,1-dimethylpropyl)amino]-4-ethoxy-(9CI)
- 202483-55-4/7-Oxa-3,20-diazadispiro5.1.11.2heneicosan-21-one, 2,2,4,4-tetramethyl-, hydrochloride, reaction products with epichlorohydrin, hydrolyzed, polymd.
- 202483-49-6/Siloxanes and Silicones, di-Me, 3-(4-hydroxy-3-methoxyphenyl)propyl group-terminated, polymers with bisphenol A, carbonic dichloride and 4-(1-methyl-1-phenylethyl)phenol
- 202480-75-9/2-ETHYLHEXYL-D17 ALCOHOL
- 202480-70-4/EICOSANOIC-20,20,20-D3 ACID
- 202480-69-1/D-[2-2H]RIBOSE
- 202480-68-0/CHLORAMPHENICOL (D5)
- 202478-34-0/N N-DIBENZYL-D-SERINE METHYL ESTER&
- 202477-94-9/L-Alanine, 3-amino-, 1,1-dimethylethyl ester (9CI)
- 202477-59-6/(2S,4R)-1-BOC-4-METHANESULFONYLOXY-PROLINE
- 202476-26-4/1H-Pyrazole-4-carbonyl chloride, 5-fluoro-1,3-dimethyl- (9CI)
- 202473-22-1/L-Proline, 3-amino-4-hydroxy-, (3R,4R)- (9CI)
- 202473-21-0/L-Proline, 4-amino-3-hydroxy-, (3R,4S)- (9CI)
- 202473-18-5/L-Proline, 4-amino-3-hydroxy-, (3S,4R)- (9CI)
- 20343-19-5/CYCLOHEPT-1-ENECARBONITRILE
- 20335-65-3/5-Isoquinolinol,1-methyl-(8CI,9CI)
- 20331-45-7/6-O-[2-ACETAMIDO-2-DEOXY-4-O-(BETA-D-GALACTOPYRANOSYL)-BETA-D-GLUCOPYRANOSYL]-D-GALACTOPYRANOSE
- 20331-26-4/N-(4-sec-Butyl-phenyl)-2-chloro-acetamide
- 20331-13-9/CHEMBRDG-BB 5703001
- 20330-99-8/N1-(4-PROPYLPHENYL)ACETAMIDE
- 20330-59-0/ACET-(4-N-HEXYL)ANILID
- 20329-98-0/3,4,5-TRIMETHOXYCINNAMIC ACID
- 20329-96-8/METHYL 3,4,5-TRIMETHOXYCINNAMATE
