Current position:Home >Product >
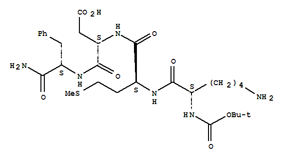
L-Phenylalaninamide,N2-[(1,1-dimethylethoxy)carbonyl]-L-lysyl-L-methionyl-L-a-aspartyl- (9CI)
L-Phenylalaninamide,N2-[(1,1-dimethylethoxy)carbonyl]-L-lysyl-L-methionyl-L-a-aspartyl- (9CI)(30819-71-7)
- Name: L-Phenylalaninamide,N2-[(1,1-dimethylethoxy)carbonyl]-L-lysyl-L-methionyl-L-a-aspartyl- (9CI)
- Synonyms:Alaninamide,Na-carboxy-L-lysyl-L-methionyl-L-aspartylphenyl-,Na-tert-butyl ester, L- (8CI); ICI55552
- Molecular Formula:C29H46 N6 O8 S
- Molecular Weight:
- CAS Registry Number:30819-71-7
- EINECS:
- Melting Point:
- Water Solubility:
Other Product
- 22197-93-9/4-[2-(3-aminophenoxy)ethoxy]benzenecarboximidamide benzenesulfonate (1:1)
- 51263-08-2/5-Thia-1-azabicyclo[4.2.0]oct-2-ene-2-carboxylicacid, 3-[(acetyloxy)methyl]-7-[(5-amino-5-carboxy-1-oxopentyl)amino]-8-oxo-,monosodium salt, [6R-(6a,7b)]- (9CI)
- 140447-66-1/{2-[(8-bromo-4-{[tert-butyl(dimethyl)silyl]oxy}-2-methyl-3,7,8,9-tetrahydro-6H-pyrrolo[3,2-f]quinolin-6-yl)carbonyl]-6,7-dimethoxy-1H-indol-5-yl}methanol
- 102306-53-6/S-methyl 2,4,5-tribromo-1H-imidazole-1-carbothioate
- 6327-96-4/ethyl {4-[bis(2-hydroxyethyl)amino]phenoxy}acetate
- 42973-04-6/N-[2-(diethylamino)ethyl]-1-benzofuran-2-carboxamide hydrochloride (1:1)
- 104685-23-6/Phosphonothioic acid,methyl-, S-[[(1,1-dimethylethyl)thio]methyl] O-methyl ester (9CI)
- 54229-88-8/(3-methylbenzyl)(diphenyl)prop-2-en-1-ylphosphonium
- 53320-86-8/Silicic acid, lithium magnesium sodium salt
- 71555-32-3/1-Piperidinecarbothioicacid, 2-ethyl-, 2-[1-(2-pyridinyl)ethylidene]hydrazide
- 5634-26-4/N-(3,5-di-tert-butyl-2-hydroxybenzyl)alanine
- 68920-91-2/Amines, C4-6-alkyl di- and C6 cyclic di-, polymers with 1,2-dichloroethane, sodium salts
- 56779-88-5/sodium [N-[2-[bis(carboxymethyl)amino]ethyl]-N-(2-hydroxyethyl)glycinato(3-)]manganate(1-)
- 65104-86-1/Poly(oxy-1,4-butanediyl), alpha-hydro-omega-hydroxy-, polymer with 1,1-methylenebis(4-isocyanatobenzene) and alpha,alpha,alpha-1,2,3-propanetriyltris(omega-hydroxypoly(oxy(methyl-1,2-ethanediyl)))
- 141725-09-9/Propanamide,2-amino-N-(2,6-dimethylphenyl)-N-[3-(3-pyridinyl)propyl]-, (2R)-
- 6294-82-2/2-(2,4-dichlorophenoxy)ethyl carbamate
- 64049-40-7/3-[2-methyl-5-(propan-2-yl)phenoxy]propane-1,2-diol
- 152175-73-0/Milbemycin B,5-O-demethyl-7,28-dideoxy-6,28-epoxy-8,9-dihydro-25-methyl-26-[(3-methyl-1-oxo-2-buten-1-yl)oxy]-
- 68213-29-6/Capric acid, castor oil, glycerol, phthalic anhydride polymer
- 30819-71-7/L-Phenylalaninamide,N2-[(1,1-dimethylethoxy)carbonyl]-L-lysyl-L-methionyl-L-a-aspartyl- (9CI)
- 124222-19-1/Slimes and Sludges, nickel electrolytic
- 62182-11-0/4-FLUORO-4-DEOXY-D-GLUCOSE
- 17768-71-7/3-hydroxy-3,5-bis(hydroxymethyl)dihydrofuran-2(3H)-one (non-preferred name)
- 73664-65-0/Benzamide,5-(acetylamino)-N-butyl-2-(2-propyn-1-yl)-
- 77382-85-5/4-[(2-carboxyethyl)(nitroso)amino]butanoic acid
- 71965-25-8/2-methyl-4-[(1R,2R,4S)-1,7,7-trimethylbicyclo[2.2.1]hept-2-yl]phenol
- 68862-44-2/(2E)-N-butyl-2-[(17E)-3-methoxyestra-1,3,5(10)-trien-17-ylidene]hydrazinecarbothioamide
- 102410-32-2/Glycine, N,N-dimethyl-,[(6-phenylimidazo[2,1-b]thiazol-5-yl)methylene]hydrazide (9CI)
- 5263-96-7/dichloroplatinum(2+) [1,2-bis(3-hydroxyphenyl)ethane-1,2-diyl]diazanide
- 63785-78-4/D-Streptamine,O-2-(acetylamino)-6-amino-2,3,4,6-tetradeoxy-a-D-glycero-hex-4-enopyranosyl-(1®4)-O-[3-(acetylmethylamino)-3-deoxy-4-C-methyl-b-L-arabinopyranosyl-(1®6)]-N,N'-diacetyl-2-deoxy- (9CI)
