Current position:Home >Product >
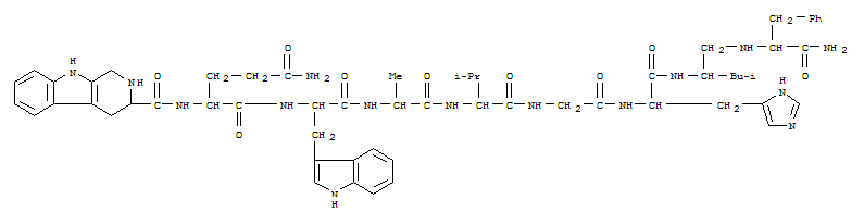
L-Phenylalaninamide,(3R)-2,3,4,9-tetrahydro-1H-pyrido[3,4-b]indole-3-carbonyl-L-glutaminyl-L-tryptophyl-L-alanyl-L-valylglycyl-L-histidyl-L-leucyl-y(CH2-NH)- (9CI)
L-Phenylalaninamide,(3R)-2,3,4,9-tetrahydro-1H-pyrido[3,4-b]indole-3-carbonyl-L-glutaminyl-L-tryptophyl-L-alanyl-L-valylglycyl-L-histidyl-L-leucyl-y(CH2-NH)- (9CI)(140197-99-5)
- Name: L-Phenylalaninamide,(3R)-2,3,4,9-tetrahydro-1H-pyrido[3,4-b]indole-3-carbonyl-L-glutaminyl-L-tryptophyl-L-alanyl-L-valylglycyl-L-histidyl-L-leucyl-y(CH2-NH)- (9CI)
- Synonyms:L-Histidinamide,N2-[(2,3,4,9-tetrahydro-1H-pyrido[3,4-b]indol-3-yl)carbonyl]-L-glutaminyl-L-tryptophyl-L-alanyl-L-valylglycyl-N-[1-[[[2-amino-2-oxo-1-(phenylmethyl)ethyl]amino]methyl]-3-methylbutyl]-,[1(R),5[S-(R*,R*)]]-; 1H-Pyrido[3,4-b]indole, L-histidinamide deriv.; RC 3105
- Molecular Formula:C59H77 N15 O9
- Molecular Weight:
- CAS Registry Number:140197-99-5
- EINECS:
- Melting Point:
- Water Solubility:
Other Product
- 228565-40-0/8-Azabicyclo[3.2.1]octane-2-carboxylicacid, 3-[3-iodo-4-(1-methylethyl)phenyl]-, methyl ester, (1R,2S,3S,5S)-rel-
- 89465-06-5/3-Isoxazolecarboxylicacid,5-methyl-,2-methylhydrazide(6CI,7CI)
- 6425-68-9/N-[(3-chloro-4-methylphenyl)carbamothioyl]-4-methoxy-3-nitrobenzamide
- 37325-33-0/LIGNOSULFONICACID,CALCIUMSODIUMSALT
- 61317-77-9/6-amino-1,3-dimethyl-5-(3-phenylpropanoyl)pyrimidine-2,4(1H,3H)-dione
- 58911-71-0/2-dodecylidene-1,1-dimethylhydrazine
- 19891-87-3/(24R)-20,24-Epoxy-24-methyl-5α-dammaran-3-one
- 34629-78-2/1,3-Propanediol, 2,2-dimethyl-, polymer with (chloromethyl)oxirane
- 128922-77-0/Pregnane-3,8,12,14,17,20-hexol,12-benzoate, (3b,5a,12b,14b,17a,20S)- (9CI)
- 61346-14-3/1a,9b-Dihydro-4-methoxyphenanthro[9,10-b]oxirene
- 13157-47-6/N-(hydroxymethyl)dodecanamide
- 15802-80-9/3-(TERT-BUTYL)-1H-PYRAZOLE
- 13167-88-9/2-(4-hydroxybenzoyl)-1H-indene-1,3(2H)-dione
- 124985-63-3/acetamidotetramethylrhodamine
- 7255-90-5/2,4-Hexadiene,3,4-bis[p-(2-cyclohexen-1-yloxy)phenyl]- (8CI)
- 433-86-3/(6S,8S,9S,10R,13R,14S,17S)-17-acetyl-6-fluoro-10,13-dimethyl-2,6,7,8,9 ,12,14,15,16,17-decahydro-1H-cyclopenta[a]phenanthrene-3,11-dione
- 7512-22-3/benzo[1,12]tetrapheno[8,9-c]furan-7,9-dione
- 3411-48-1/Tri(1-naphthyl)phosphine
- 140197-99-5/L-Phenylalaninamide,(3R)-2,3,4,9-tetrahydro-1H-pyrido[3,4-b]indole-3-carbonyl-L-glutaminyl-L-tryptophyl-L-alanyl-L-valylglycyl-L-histidyl-L-leucyl-y(CH2-NH)- (9CI)
- 16413-04-0/4,8,12-Triazatrispiro[2.1.2.1.2.1]dodecane(8CI,9CI)
- 94201-51-1/sodium 1-(1-cyclohexen-1-yl)-5,5-diethylbarbiturate
- 85507-87-5/Ethanol,2-[(6-aminohexyl)amino]-, N-C12-18-alkyl derivs., acetates (salts)
- 76532-25-7/N~6~-methyl-N~6~-(phenanthren-9-ylmethyl)pteridine-2,4,6-triamine
- 70843-23-1/Quinolinium, 1,3-dipropyl-2-(1-(2(1H)-quinolinylideneethylidene)butyl)-, tetrafluoroborate(1-)
- 129134-98-1/Benz[g]isoquinolin-9(6H)-one,7,8-dihydro-6,10-dihydroxy-3-methyl-, (-)-
- 93777-00-5/1-(3,4-dihydroxyphenyl)-2-(ethylamino)propan-1-one
- 62295-16-3/1-ETHYL-3-HYDRAZONO-1,3-DIHYDRO-INDOL-2-ONE
- 70693-13-9/Safflower oil, polymer with pentaerythritol, phthalic anhydride andvinyltoluene
- 8049-97-6/MELANIN
- 127943-74-2/(+/-)-2,3-Dihydro-6-methoxy-3-(((methylsulfonyl)oxy)methyl)-1H-indole- 1-carboxylic acid 1,1-dimethylethyl ester
