Current position:Home >Product >
L-Lysine,L-lysyl-L-seryl-L-leucyl-L-seryl-L-leucyl-L-seryl-L-prolylglycyl-
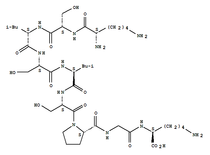
L-Lysine,L-lysyl-L-seryl-L-leucyl-L-seryl-L-leucyl-L-seryl-L-prolylglycyl-(111286-19-2)
- Name: L-Lysine,L-lysyl-L-seryl-L-leucyl-L-seryl-L-leucyl-L-seryl-L-prolylglycyl-
- Synonyms:L-Lysine,N2-[N-[1-[N-[N-[N-[N-(N-L-lysyl-L-seryl)-L-leucyl]-L-seryl]-L-leucyl]-L-seryl]-L-prolyl]glycyl]-;13: PN: WO03048334 SEQID: 13 unclaimed sequence; 18: PN: WO2008122039 SEQID: 18unclaimed protein; 25: PN: WO02079415 SEQID: 5 unclaimed sequence; 2: PN:WO2008077889 SEQID: 1 claimed sequence; 5: PN: WO02079232 SEQID: 5 claimed sequence;Lisefcrine
- Molecular Formula:C40H73 N11 O13
- Molecular Weight:
- CAS Registry Number:111286-19-2
- EINECS:
- Melting Point:
- Water Solubility:
Other Product
- 90106-81-3/Senecio viscosus, ext.
- 50306-18-8/Octa-1,5-dien-3-ol
- 68649-16-1/Ozonized polyethylene pulp
- 29881-53-6/3-(acetylamino)-3-deoxy-1,2-O-(1-methylethylidene)pentofuranose
- 34398-56-6/ruthenium(+4) cation; 2-(3,4,5,6-tetrahydro-2H-pyridin-2-yl)-6H-pyridine; 2-(3,4,5,6-tetrahydro-2H-pyridin-2-yl)-3,4,5,6-tetrahydro-2H-pyridine; dinitrite
- 6331-99-3/1-ethenyl-2-methylcyclohexanol
- 114150-42-4/3-[5-(4-chlorophenyl)-1-(4-methoxyphenyl)-1H-pyrazol-3-yl]propanoic acid
- 94955-61-0/Copper(2+), (1,4,7,10-tetramethyl-1,4,7,10-tetraazacyclododecane-N(sup 1),N(sup 4), N(sup 7),N(sup 10))-, dichloride
- 5677-21-4/3-[(furan-2-ylcarbonyl)oxy]-2-phenylquinazolin-4(3H)-one
- 61311-01-1/AD-1211
- 150200-29-6/2,4,6-Heptatrienoicacid, 7-[5-[7-[[3-[[2,6-dideoxy-4-O-(2,6-dideoxy-3-O-methyl-a-D-lyxo-hexopyranosyl)-3-O-methyl-a-D-lyxo-hexopyranosyl]oxy]-1-oxo-2-[tetrahydro-2,3,4-trihydroxy-5,5-dimethyl-6-(1,3-pentadienyl)-2H-pyran-2-yl]propyl]amino]-2-methoxy-1,3-dimethyl-3,5-heptadienyl]tetrahydro-3-hydroxy-2-furanyl]-(9CI)
- 68308-30-5/Fatty acids, montan-wax, stearyl esters
- 7278-48-0/3-(6-amino-9H-purin-9-yl)-1-phenylpropan-1-ol
- 61098-52-0/3-(6,8-dimethyl-6-azabicyclo[3.2.1]oct-1-yl)phenol
- 91697-73-3/Fatty acids, tall-oil, C14-15-branched alkyl esters, sulfited, sodium salts
- 92612-73-2/4-[(2-isocyanatocyclohexyl)methyl]-o-tolyl isocyanate
- 93348-56-2/Rosemary, Rosmarinus officinalis latifolius, ext.
- 120944-17-4/5-{2-[4-(3,4-dichlorophenyl)piperazin-1-yl]ethyl}-4-(4-fluorophenyl)-1,3-oxazol-2(3H)-one hydrochloride
- 189368-20-5/Spiro[6,10-methanobenzocyclodecene-4(6H),2'- oxirane]-1,3,5,6,8,11,12-heptol,1,2,3,4a,5,7,8,- 11,12,12a-decahydro-9,12a,13,13-tetramethyl-,3,5,8-triacetate,(1S,2'R,3S,4aR,5S,6S,8S,11R,- 12R,12aS)-
- 111286-19-2/L-Lysine,L-lysyl-L-seryl-L-leucyl-L-seryl-L-leucyl-L-seryl-L-prolylglycyl-
- 14648-70-5/Titanium,bis[phosphonito(2-)-kO,kO']-
- 114051-78-4/Kinase(phosphorylating), protein p56lck
- 25384-94-5/(2,3-dimethyl-2-{[(methylcarbamoyl)oxy]methyl}butyl)carbamic acid
- 56363-71-4/methyl 2-hydroperoxy-2-methyltetradecanoate
- 27797-85-9/2H-Pyrrol-2-one,5-[(1,5-dihydro-5-oxo-2H-pyrrol-2-ylidene)methyl]-
- 98518-03-7/4-(4-chlorophenyl)cyclohexa-3,5-diene-1,2-diol
- 161505-21-1/2-Propenoic acid,3-methoxy-3-(1,2,3,4-tetrahydro-2,5,10-trihydroxy-2-methyl-4-oxo-1-anthracenyl)-(9CI)
- 65152-25-2/disodium 4-hydroxy-7-[[[(5-hydroxy-7-sulphonato-2-naphthyl)amino]carbonyl]amino]-3-(phenylazo)naphthalene-2-sulphonate
- 19277-56-6/Benzoic acid, 4-methyl-, butyl ester
- 166990-11-0/4-Hexenoic acid,4-[[(6-O-D-apio-b-D-furanosyl-b-D-glucopyranosyl)oxy]methyl]-3-(2-hydroxyethyl)-(9CI)
