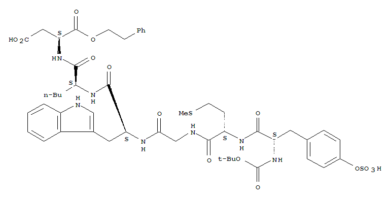
JMV 81(113282-22-7)
- Name: JMV 81
- Synonyms:JMV 81
- Molecular Formula:C50H65 N7 O15 S2
- Molecular Weight:1068.22
- CAS Registry Number:113282-22-7
- EINECS:
- Melting Point:
- Water Solubility:
Other Product
- 72994-76-4/Strychnorubigine
- 6968-32-7/1-[(E)-{2-methyl-4-[(E)-(2-methylphenyl)diazenyl]phenyl}diazenyl]naphthalen-2-amine
- 16562-59-7/b-L-Galactopyranose, 6-deoxy-, 1-(dihydrogen phosphate)
- 676-49-3/METHANE (D1)
- 68443-51-6/tris(6-aminohexanoato-O)(propan-2-olato)titanium
- 1594-01-0/4-({2-methyl-4-[(E)-(2-methylphenyl)diazenyl]phenyl}hydrazono)naphthalen-1(4H)-one
- 59985-27-2/3-[(E)-2-(2-aminopyrimidin-4-yl)ethenyl]-1-oxoquinoxalin-1-ium-4(1H)-olate
- 93384-19-1/Deoxyribonucleohistones, thymus gland
- 85665-90-3/2,2,4-Trimethylcyclohexenecarboxylic acid
- 59866-75-0/6-(Dibutylamino)-1,3,5-triazine-2,4-dithiol·sodium
- 7511-52-6/9-chloro-17-hydroxy-17-methylandrost-4-ene-3,11-dione
- 125205-73-4/17-Norkaur-15-en-18-oicacid, 13-methyl-14-[[(2E)-2-methyl-1-oxo-2-buten-1-yl]oxy]-, (4a,8b,13b,14S)-
- 14700-09-5/Stibine oxide, hydroxy-
- 84195-49-3/Liver, defatted
- 99523-69-0/3-Chloro-N-(1-(3-chloro-1-oxopropyl)-5-methyl-2,1-benzisothiazol-3(1H)-ylidene)propanamide
- 17099-72-8/DIMETHYLBIS(8-QUINOLATO)TIN
- 68512-88-9/Turpentine, oil, polymer with formaldehyde, phenol and -pinene
- 78610-92-1/(3R,3aR)-2-acetyl-7-methoxy-3-(4-methoxyphenyl)-2,3,3a,4-tetrahydrochromeno[4,3-c]pyrazole
- 64047-20-7/sodium 5-(2,2-dimethylpropyl)-5-methyl-4-oxo-4,5-dihydro-1,3-oxazol-2-olate
- 113282-22-7/JMV 81
- 89892-39-7/2-Bromo-4-cyanobenzyl bromide
- 134944-14-2/Omph protein
- 68109-87-5/Dibenzyl (Z,Z,Z)-6,6,13,13-tetrabutyl-4,8,11,15-tetraoxo-5,7,12,14-tetraoxa-6,13-distannoctadeca-2,9,16-trienedioate
- 141294-52-2/1,1-Ethenediamine,N-(2,2-dimethylpropyl)-2-nitro-N'-4-pyridinyl-, (1E)-
- 61008-19-3/aquomethemoglobin
- 26674-02-2/(5aS)-5aβ,6,7,8,9,9aβ-Hexahydro-1,6β-dihydroxy-6-methyl-9β-(1-methylethenyl)-3-pentyl-2-dibenzofurancarboxylic acid
- 39367-82-3/3Kh15N13Yu3
- 80557-13-7/cristatic acid
- 83991-25-7/ambasilide
- 737-18-8/(5alpha,15alpha,16alpha)-15,16-epoxyandrostan-17-one
