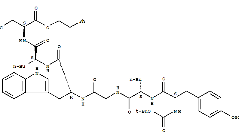
JMV 179(119386-87-7)
- Name: JMV 179
- Synonyms:L-Asparticacid, N-[N-[N-[N-[N-[N-[(1,1-dimethylethoxy)carbonyl]-O-sulfo-L-tyrosyl]-L-norleucyl]glycyl]-D-tryptophyl]-L-norleucyl]-,1-(2-phenylethyl) ester; JMV 179
- Molecular Formula:C51H67 N7 O15 S
- Molecular Weight:1050.1806
- CAS Registry Number:119386-87-7
- EINECS:
- Melting Point:
- Water Solubility:
Other Product
- 55764-59-5/2-(2-methylhydrazino)-6-nitroquinoline-4-carboxylic acid
- 6345-38-6/octyl [2-(carbamimidoylsulfanyl)ethyl]carbamate
- 65999-76-0/3'-AMINO-2'-METHYLACETANILIDE
- 5037-63-8/5,8-DIMETHYL-1-TETRALONE
- 87820-88-0/Tralkoxydim
- 10071-00-8/10-[2-(dimethylamino)propyl]-5-oxido-2-propanoyl-5,10-dihydro-5lambda~4~-phenothiazin-5-yl
- 57722-17-5/1,2,3,4,5,6-hexachlorocyclohexene
- 25278-35-7/Sulfamic acid,mercury(2+) salt (1:1) (8CI,9CI)
- 26828-48-8/2-ALLYL-2-METHYL-1,3-CYCLOPENTANEDIONE
- 75858-21-8/(13cis)-15-{[4-(propanoyloxy)phenyl]amino}retinal
- 50539-75-8/2,2-dimethyl-2,3-dihydro-1-benzofuran-7-yl {[(4-bromo-2-methylphenyl)sulfanyl]methyl}carbamate
- 12022-88-7/Mackinawite ((Fe0.5-1Ni0-0.5)9S8)
- 53023-32-8/2,3,3aβ,4,5,7,8,9,9aβ,9bα-Decahydro-9β-hydroxymethyl-3β,6-dimethylazuleno[4,5-b]furan-2,7-dione
- 15278-82-7/dicesium tetrabromoplatinate
- 22595-43-3/4-Cyclohexene-1,3-dione,5-methoxy-6,6-dimethyl-2-(2-methyl-1-oxopropyl)- (9CI)
- 185377-61-1/L-arginyl-L-seryl-L-valyl-L-cysteinyl-Larginyl-L-glutaminyl-L-isoleucyl-Llysyl-L-isoleucyl-L-cysteinyl-L-arginyl-L-arginyl-L-arginylglycylglycyl-Lcysteinyl-L-tyrosyl-L-tyrosyl-L-lysyl-Lcysteinyl-L-threonyl-L-asparaginyl-Larginyl-L-prolylcyclic(4f20),(10f16)-bis(disulfide) ;;
- 83736-21-4/1-Methyl-2-benzoylaminomethyl-5-phenyl-1H-2,3-dihydro-1,4-benzodiazepi ne dihydrochloride
- 124027-88-9/Erythronolide A,5,6,10,11,12,20-hexadehydro-4,6-didemethyl-9-deoxo-5,11,12-trideoxy-3-C-(hydroxymethyl)-6-O-methyl-4-oxo-(9CI)
- 63989-84-4/methanaminium 2-methyl-4,6-dinitrophenolate
- 119386-87-7/JMV 179
- 81944-35-6/1,7-Dicarbadodecaborane(12)-1-methanol, acetate
- 4750-57-6/1-METHYL-5-NITRO-1H-IMIDAZOLE-2-CARBALDEHYDE
- 88701-47-7/2-(3,4-dimethoxyphenyl)-1-(4-{[(Z)-3H-indol-3-ylidenemethyl]amino}phenyl)prop-2-en-1-one
- 5773-97-7/N-[(3-carbamoylchromen-2-ylidene)amino]pyridine-4-carboxamide
- 95051-73-3/[(2R,3S,5R)-2-[2-[(2S,3S,5R)-3-[5-[(6-chloro-2-methoxy-acridin-9-yl)amino]pentyl]-3-hydroxy-2-[[(2R,3S,5R)-3-hydroxy-5-(5-methyl-2,4-dioxo-pyrimidin-1-yl)tetrahydrofuran-2-yl]methyl]-5-(5-methyl-2,4-dioxo-pyrimidin-1-yl)tetrahydrofuran-2-yl]-3-[(2R,3S,5R)
- 123240-63-1/2-amino-9-[(2-hydroxy-2-oxido-1,3,2-dioxaphosphinan-5-yl)methoxy]-3,9-dihydro-6H-purin-6-one
- 1610-29-3/2-methylpent-2-en-1-ol
- 77446-71-0/3'-O-dansyladenosine
- 68783-23-3/Amines, disoya alkyl
- 77637-96-8/Isoharderoporphyrin
