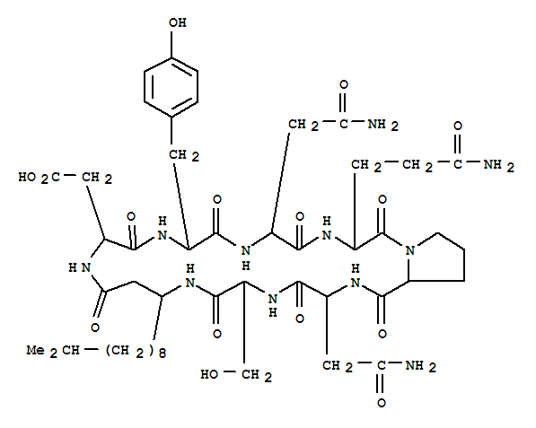
Iturin C1 (9CI)(164740-73-2)
- Name: Iturin C1 (9CI)
- Synonyms:Cyclo(12-methyl-3-aminotridecanoyl-L-a-aspartyl-D-tyrosyl-D-asparaginyl-L-glutaminyl-L-prolyl-D-asparaginyl-L-seryl)
- Molecular Formula:C48H73 N11 O15
- Molecular Weight:
- CAS Registry Number:164740-73-2
- EINECS:
- Melting Point:
- Water Solubility:
Other Product
- 51959-84-3/5-oxo-N,N-dipropylpyrrolidine-2-carboxamide
- 71872-81-6/C.I. Reactive Yellow 85
- 14312-00-6/cadmium chromate
- 79513-67-0/1-methyl-8-(octyloxy)-1,2,3,4-tetrahydropyrimido[1,2-a]benzimidazole methanesulfonate
- 7467-23-4/propyl 9H-xanthene-9-carboxylate
- 15258-03-4/3-chloro-N-(2-chloroethyl)benzamide
- 66057-59-8/(αS,α'R)-α,α'-Diamino-4,6,6'-trihydroxybiphenyl-2,3'-diacetic acid
- 22623-71-8/NSC 122632
- 6915-39-5/2-Amino-2-deoxyhexose
- 139164-70-8/(4aR,5R,6aS,6aS,6bR,8aS,10S,12aS,14bR)-10-[(2R,3R,4S,5R,6R)-5-[(2S,3R,4R,5S,6S)-3,5-dihydroxy-6-methyl-4-[(2S,3R,4R,5S,6S)-3,4,5-trihydroxy-6-methyl-oxan-2-yl]oxy-oxan-2-yl]oxy-3,4-dihydroxy-6-[[(2R,3R,4S,5R)-3,4,5-trihydroxyoxan-2-yl]oxymethyl]oxan-2-yl]oxy-5-hydroxy-2,2,6a,6b,9,9,12a-heptamethyl-1,3,4,5,6,6a,7,8,8a,10,11,12,13,14b-tetradecahydropicene-4a-carboxylic acid
- 90387-81-8/Glycine, N,N'-1,2-ethanediylbis[N-(carboxymethyl)-, reaction products with 1-isotridecanamine
- 99661-65-1/2-{(E)-2-[3-methoxy-4-(1-methylethoxy)phenyl]ethenyl}-1,3-thiazole-4-carboxylic acid
- 80997-83-7/(+,-) A-(METHYLAMINOMETHYL)BENZYL*ALCOHO L, BENZOATE
- 403-16-7/3-Chloro-4-fluorobenzoic acid
- 33981-19-0/4-[4-[[4-(dimethylamino)phenyl]methylene]-4,5-dihydro-3-methyl-5-oxo-1H-pyrazol-1-yl]benzenesulphonic acid
- 97467-87-3/2,6-Octadien-1-ol, 3,7-dimethyl-, (E)-, reaction products with dimethoxymethane and 3,7-dimethyl-6-octen-1-ol
- 134069-61-7/8-[2-(4-chlorophenyl)ethyl]-3-cyclohexyl-4-hydroxy-4-methyl-1-oxa-3,8-diazaspiro[4.5]decan-2-one
- 74773-76-5/9-Azabicyclo[3.3.1]nonan-3-one, 9-dimethylamino-
- 2957-95-1/CIS-3,4-DICHLOROCYCLOBUTENE
- 164740-73-2/Iturin C1 (9CI)
- 64755-12-0/2-Propenoic acid, 2-carboxyethyl ester, polymer with 1,3-butadiene,ethenylbenzene and 2-hydroxyethyl 2-propenoate
- 5376-92-1/3-methylbutyl 2-chloroacetate
- 86293-25-6/2-[(2R)-3α-[(3E,6E)-5-Hydroxy-4,8,12-trimethyl-3,6,11-tridecatrienyl]-3,4-dimethyl-4β-hydroxy-2β-(3-hydroxypropyl)cyclohexylidene]propanal
- 98476-65-4/5-cyano-N-cyclopropyl-1-(pyridin-2-yl)-1H-pyrazole-4-carboxamide
- 73953-54-5/3-Antipyrinyl-1-[4-(1-methylbutoxy)phenyl]thiourea
- 80948-49-8/(3alpha,5beta,7alpha,12alpha)-3,7,12-trihydroxycholane-24-hydrazide
- 102647-94-9/Antibiotic K 125A (9CI)
- 17582-53-5/MONOBUTYLTRIETHYLTIN
- 79422-65-4/{2-[(diethylamino)methyl]phenyl}methanol
- 60022-30-2/CL 52828
