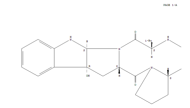
Isophakellistatin 3(9CI)(153667-40-4)
- Name: Isophakellistatin 3(9CI)
- Synonyms:Phakellistatin3, 5-[L-(2a,3aa,8aa)-1,2,3,3a,8,8a-hexahydro-3a-hydroxypyrrolo[2,3-b]indole-2-carboxylicacid]-;1H,5H-Dipyrrolo[1'',2'':4',5';1''',2''':13',14'][1,4,7,10,13,16,19]heptaazacycloheneicosino[1',2':1,5]pyrrolo[2,3-b]indole,cyclic peptide deriv.; Cyclo[glycyl-L-prolyl-L-threonyl-L-leucyl-L-(2a,3aa,8aa)-1,2,3,3a,8,8a-hexahydro-3a-hydroxypyrrolo[2,3-b]indole-2-carbonyl-L-prolyl-L-phenylalanyl]
- Molecular Formula:C42H54 N8 O9
- Molecular Weight:
- CAS Registry Number:153667-40-4
- EINECS:
- Melting Point:
- Water Solubility:
Other Product
- 4509-85-7/INDOLE, 3-(2-(HEXAHYDRO-1H-AZEPIN-1-YL)ETHYL)-2-PHENYL-
- 20203-03-6/Zinc hydroxymethanesulphonate (1:2)
- 135608-87-6/2,5-dichloro-3-(glutathionyl-S-yl)-1,4-benzoquinone
- 58947-83-4/(4R,5S,6S,7R,9R,11E,15S,16R)-7-(2-Hydroxyethyl)-5,9,13,15-tetramethyl-16-ethyl-4-hydroxy-6-[3-(dimethylamino)-3,4,6-trideoxy-β-D-xylo-hexopyranosyloxy]-1-oxacyclohexadeca-11,13-diene-2,10-dione
- 6820-95-7/N-(3-Morpholinopropyl)phthalimide
- 17788-27-1/3-(propanoylamino)phenyl propan-2-ylcarbamate
- 139955-82-1/b-D-Glucopyranoside,(1S,4aS,5R,7S,7aS)-7-[[(2E)-3-(3,4-dimethoxyphenyl)-1-oxo-2-propenyl]oxy]-1,4a,5,6,7,7a-hexahydro-4a,5-dihydroxy-7-methylcyclopenta[c]pyran-1-yl(9CI)
- 6784-29-8/Yohimbyl alcohol
- 7403-68-1/2-[(2,2-dimethylpropyl)amino]ethanol
- 29857-46-3/dichloroplatinum(2+) bis[(4-nitrophenyl)azanide]
- 85631-94-3/Potassium 5-chloro-2-methylphenyl-N-nitrosoamide
- 148021-80-1/3,4-dihydroxygona-5(10),6,8,11,13-pentaen-1-one
- 2990-56-9/9-bromo-11-fluoro-3-oxoandrosta-1,4-dien-17-yl propanoate
- 160807-87-4/1,3-bis[(3-bromophenyl)-phenyl-methyl]urea
- 31710-30-2/decachlorodiphenyl ether
- 52662-27-8/N-[2-(diethylamino)ethyl]-2-(4-hydroxyphenoxy)acetamide
- 85563-74-2/Agestricin B
- 153667-40-4/Isophakellistatin 3(9CI)
- 65557-68-8/3,8-diamino-5-ethyl-6-undecylphenanthridinium bromide
- 96510-29-1/Blood depressing substance I (Anemonia sulcata reduced)
- 68610-91-3/Carob gum, polymer with ethanedial
- 63555-35-1/2,3-dihydroxypropyl 2,3,4,5-tetrachloro-6-(6-hydroxy-2,4,5,7-tetraiodo-3-oxo-3H-xanthen-9-yl)benzoate
- 476-41-5/2-Anthracenecarboxylic acid, 9,10-dihydro-1,3,4-trihydroxy-9,10-dioxo-
- 74926-98-0/2-(1-methylbutyl)-6-(1-methylethyl)phenol
- 141913-28-2/DUNAWITHANIN C
- 1778-09-2/4'-Methylthioacetophenone
- 97718-31-5/Acetamide, 2-(1,2-dicarbaundecaboran(11)-1-yl)-N,N-diethyl-, potassium salt
- 86576-71-8/N-(4-methoxyphenyl)-N-methyl-3-(piperidin-1-yl)prop-2-enamide
- 61894-02-8/trisodium (2S)-2-[(3-carboxylatoacryloyl)(octadecyl)amino]butanedioate
- 26447-49-4/hexabromododecane
