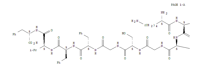
IGE decapeptide(70669-29-3)
- Name: IGE decapeptide
- Synonyms:L-Phenylalanine,N-[N-[N-[N-[N-[N-[N-[N2-(N-L-lysyl-L-threonyl)-L-lysyl]glycyl]-L-seryl]glycyl]-L-phenylalanyl]-L-phenylalanyl]-L-valyl]-;14: PN: WO0050077 SEQID: 14 claimed sequence; 167: PN: WO2008145401 PAGE: 163claimed sequence; 18: PN: WO0074716 SEQID: 18 claimed sequence; 31: PN:US6811782 SEQID: 59 unclaimed sequence; 33: PN: WO2008145400 SEQID: 91 claimedsequence; 4: PN: WO0050077 SEQID: 4 claimed sequence; 61: PN: WO2007022477SEQID: 79 unclaimed sequence; 66: PN: WO9967293 SEQID: 59 unclaimed sequence;68: PN: US7648701 SEQID: 59 unclaimed sequence; Immunoglobulin E CH4 fragment
- Molecular Formula:C55H80 N12 O13
- Molecular Weight:1117.3
- CAS Registry Number:70669-29-3
- EINECS:
- Melting Point:
- Water Solubility:
Other Product
- 137028-97-8/ketomethylenebestatin
- 196098-44-9/Solalyratine A
- 3007-91-8/ETHYL 2-NAPHTHOATE
- 73049-51-1/Carrotoil
- 42504-43-8/2-pyridin-2-ylindene-1,3-dione
- 23892-47-9/4-[2-[(4-Chloro-α-phenylbenzyl)amino]ethyl]morpholine
- 19245-41-1/2,4-di-tert-butyl-5-ethylphenol
- 88552-02-7/(4Z)-1,1,2,2-tetrafluoro-6,6-dimethyl-5-sulfanylhept-4-en-3-one
- 90341-67-6/Cuprate(4-), (2-((4,5-dihydro-1-(4-((3-hydroxy-4-((1-hydroxy-6-(phenylamino)-3-sulfo-2-naphthalenyl)azo)-7-sulfo-1-naphthalenyl)azo)phenyl)-3-methyl-5-oxo-1H-pyrazol-4-yl)azo)-5-sulfobenzoato(6-))-,potassium sodium
- 53605-17-7/O-[6-(2,6-dichlorophenoxy)pyridazin-3-yl] O,O-diethyl phosphorothioate
- 68476-27-7/Fuel gases, amine system residues
- 34803-92-4/methyl 7-chloro-6-methoxy-2-(2-methoxy-2-oxoethyl)-4-oxo-1,2,3,4-tetrahydroquinazoline-2-carboxylate
- 73506-90-8/2-bromo-1,1,1-trichloropropane
- 99900-87-5/N-(3,4-dichlorophenyl)-3-(2-methylaziridin-1-yl)propanamide
- 31365-03-4/(2R,3S)-3-(4-chlorophenyl)-2-(4-hydroxyphenyl)-1-phenylpentan-1-one
- 175135-60-1/3-BROMO-5-CHLORO-2,6-DIMETHOXYBENZAMIDE
- 68797-40-0/1,3-Butanediol, polymer with alpha-hydro-omega-hydroxypoly(oxy-1,4-butanediyl) and 1,1-methylenebis(4-isocyanatobenzene)
- 38806-37-0/1,N(6)-ethenoadenosine 3',5'-monophosphate
- 66913-44-8/sodium 6-[(1,5-dimethyl-3-oxo-2-phenyl-pyrazol-4-yl)iminomethyl]-2,3-d imethoxy-benzoate
- 70669-29-3/IGE decapeptide
- 29901-62-0/potassium sulphanilate
- 41568-95-0/(1aR,1bS,4aR,7aS,7bS,8R,9R,9aS)-9a-(acetyloxy)-4a,7b-dihydroxy-3-(hydroxymethyl)-1,1,6,8-tetramethyl-5-oxo-1a,1b,4,4a,5,7a,7b,8,9,9a-decahydro-1H-cyclopropa[3,4]benzo[1,2-e]azulen-9-yl deca-2,4,6-trienoate
- 1155-49-3/Propiophenone, 3-piperidino-4'-propoxy-, hydrochloride
- 76752-12-0/2-[6-(4-chlorobenzoyl)-2-oxo-1,3-benzoxazol-3(2H)-yl]propanoic acid
- 72889-51-1/ethyl 4-{7-chloro-2-[(E)-2-furan-2-ylethenyl]-4-oxoquinazolin-3(4H)-yl}benzoate
- 172469-86-2/4-(1,3-benzoxazol-2-ylsulfanyl)-5-methyl-3-nitropyridin-2(1H)-one
- 64271-94-9/6,7-dimethoxy-9-methyl-1,3,4,9-tetrahydro-2H-4a,9-epoxyphenanthren-2-ol
- 33612-09-8/1-[3,6-bis(trifluoromethyl)phenanthren-9-yl]-2-(dibutylamino)ethanol
- 62143-69-5/2-(2-phenylbenzooxazol-6-yl)acetic acid
- 12297-12-0/12-tungstoborate
