Current position:Home >Product >
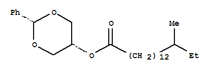
Hexadecanoic acid,14-methyl-, 2-phenyl-m-dioxan-5-yl ester, cis- (8CI)
Hexadecanoic acid,14-methyl-, 2-phenyl-m-dioxan-5-yl ester, cis- (8CI)(10015-92-6)
- Name: Hexadecanoic acid,14-methyl-, 2-phenyl-m-dioxan-5-yl ester, cis- (8CI)
- Synonyms:
- Molecular Formula:C27H44 O4
- Molecular Weight:
- CAS Registry Number:10015-92-6
- EINECS:
- Melting Point:
- Water Solubility:
Other Product
- 37094-46-5/3-(4-BROMOPHENYL)-2-THIEN-2-YLACRYLIC ACID
- 101651-68-7/[2-(acetylamino)benzene-1,4-diyl]diboronic acid
- 68067-15-2/tert-butyl 2,4-dimethyl-5-methylidene-4,5-dihydrofuran-3-carboxylate
- 68345-29-9/52450-76-7
- 72017-98-2/Hexanedioic acid, polymer with 1,1-((1-methylethylidene)bis(4,1-phenyleneoxy))bis(2-propanol) and 1,2-propanediol
- 55242-69-8/7-butyl-3-methyl-3,7-dihydro-1H-purine-2,6-dione
- 40835-96-9/2-AMINOPERIMIDINE HYDROBROMIDE
- 5951-07-5/5,6-dimethyl-2-[4-(1-methylethyl)phenyl]thieno[2,3-d]pyrimidin-4(3H)-one
- 101491-55-8/naphthalen-1-yl [(2E)-3-bromoprop-2-en-1-yl]carbamate
- 161247-53-6/Somatoliberin (Clariasmacrocephalus) (9CI)
- 4064-75-9/methyl 4-{[2-hydroxy-3-(prop-2-yn-1-yloxy)propyl](pyrimidin-2-yl)amino}butanoate
- 14078-41-2/2,2'-dihydroxy-3,3'-di-tert-butyl-5,5'-dimethoxydiphenyl
- 71562-64-6/Ro 03-5939
- 159647-25-3/DB 2 (propellant)
- 19182-05-9/N-ethyl-4-octyl-N-(4-octylphenyl)aniline
- 83350-56-5/4-carbamoyl-1-dodecylpyridinium
- 90222-47-2/N,N-dimethylpiperazine-1,4-dicarboxamide
- 3989-37-5/N-methyl-N-(methylsulfonyl)methanesulfonamide
- 32970-96-0/cyclohex-4-ene-1,2-diyldimethanediyl bis(4-methylbenzenesulfonate)
- 10015-92-6/Hexadecanoic acid,14-methyl-, 2-phenyl-m-dioxan-5-yl ester, cis- (8CI)
- 29373-02-2/2,3-Dihydro-8-methyl-4H-1-benzothiopyran-4-one
- 18549-64-9/3-Aza-6a-thiathiophthene
- 22916-58-1/3-[2-(7-chloroquinolin-4-yl)-1-methylhydrazinyl]-N,N-diethylpropan-1-amine
- 101975-90-0/1-propyl-4-(tricyclo[3.3.1.1~3,7~]dec-1-ylmethyl)piperazine
- 7230-82-2/1-(cyclohexylmethylsulfanyl)-N-[1-[2-[N-[(cyclohexylmethylsulfanyl-sulfido-methylidene)amino]-C-methyl-carbonimidoyl]-5,6-dihydro-2H-pyridin-6-yl]ethylideneamino]methanimidothioate; 1-(cyclohexylmethylsulfanyl)-N-[1-[6-[N-[(cyclohexylmethylsulfanyl-sulfido-methylidene)amino]-C-methyl-carbonimidoyl]-3,4,5,6-tetrahydro-2H-pyridin-2-yl]ethylideneamino]methanimidothioate; zinc
- 668-56-4/17-beta-hydroxyandrost-4-en-3-one nicotinate
- 17663-92-2/N-[amino(chloro)diphenyl-lambda~5~-phosphanyl]-N-methylmethanamine
- 39653-72-0/1-Cyanoacenaphthylene
- 19768-02-6/3,4-diphenyl-1,2,5-oxadiazole
- 71079-99-7/2-tert-butyl-1-(6-methoxyquinolin-4-yl)-3-(1,3-thiazol-2-yl)guanidine
