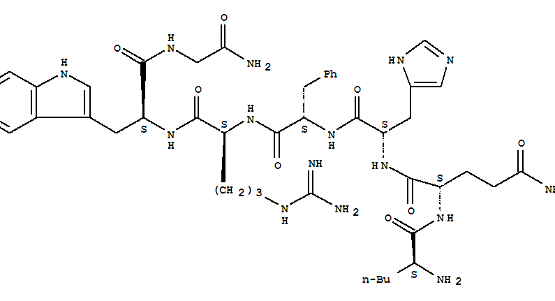
HP 228(109022-88-0)
- Name: HP 228
- Synonyms:BIM 22010
- Molecular Formula:C45H63 N15 O8
- Molecular Weight:942.08
- CAS Registry Number:109022-88-0
- EINECS:
- Melting Point:
- Water Solubility:
Other Product
- 175617-25-1/9H-Xanthen-9-one,7-(1,1-dimethyl-2- propenyl)-2,3,5,8-tetrahydroxy-1-(3-hydroxy- 3-methylbutyl)-4-(3-methyl-2-butenyl)-
- 110483-07-3/Hexadecanamide, N-3-(hexadecyloxy)-2-hydroxypropyl-N-(2-hydroxyethyl)-
- 86018-60-2/Sodium propoxyacetate
- 1654-86-0/N-CAPRIC ACID N-DECYL ESTER
- 62979-83-3/4-Amino-N-(2-diethylaminoethyl)benzamidine trihydrochloride
- 96159-90-9/2-(4-methoxy-3-methyl-phenyl)-4,5-dihydro-1,3-thiazole
- 63653-28-1/Sodium amphomycin
- 22570-55-4/(21β)-A'-Neo-5α-gammacer-22(29)-en-6-one
- 19047-85-9/DI-N-OCTADECYL PHOSPHITE
- 70703-39-8/magnesium methanide propan-1-ide (1:1:1)
- 146887-38-9/2(3H)-Furanone,5-(4-chlorophenyl)dihydro-3-phenyl-3-(1H-1,2,4-triazol-1-ylmethyl)-,(3R,5R)-rel-
- 82499-02-3/2-CHLORO-N-METHYL-9H-PURIN-6-AMINE
- 149559-21-7/Guanosine,2'-deoxy-N-(7,8,9,10-tetrahydro-7,8,9-trihydroxy-3-nitrobenzo[a]pyren-10-yl)-(9CI)
- 144790-65-8/1,3,6-Naphthalenetrisulfonicacid, 8,8'-[(1,12-dioxo-1,12-dodecanediyl)diimino]bis-, hexasodium salt (9CI)
- 127304-28-3/linarotene
- 10138-59-7/1,2-Cyclohexanedicarboxylic acid diethyl ester
- 7504-28-1/1-chloro-2-[(4-chlorophenyl)ethynyl]benzene
- 107811-76-7/Uridine,5-(2-bromoethenyl)-2'-deoxy-, 5'-[hydrogen (carboxymethyl)phosphonate] (9CI)
- 7441-55-6/1-[1-[4-(Acetylamino)phenyl]ethylidene]thiosemicarbazide
- 109022-88-0/HP 228
- 56933-61-0/9-fluoro-11beta,17,21-trihydroxy-16beta-methylpregna-1,4-diene-3,20-dione 21-hexanoate
- 85896-09-9/N-(2-ethoxy-4-nitrophenyl)dibenzylamine
- 5589-41-3/2,3-DIHYDROWITHAFERINA
- 191-92-4/Benzo[1,2,3-kl:4,5,6-k'l']bisthioxanthene
- 25517-20-8/1-methyl-1-[3-oxo-3-(tricyclo[3.3.1.1~3,7~]dec-1-ylamino)propyl]pyrrolidinium iodide
- 67801-23-4/2-isopropyl-5-methylcyclohexyl 2-methylbut-2-enoate
- 6756-14-5/(20β)-3β-Hydroxyurs-12,18-dien-28-oic acid
- 85153-98-6/4,4-Bis((6-anilino-4-(bis(2-hydroxyethyl)amino)-1,3,5-triazin-2-yl)amino)stilbene-2,2-disulphonic acid, potassium salt, compound with 2-aminoethanol
- 31295-34-8/AMMONIUM SALICYLATE
- 20611-81-8/Disodium cyanamide
