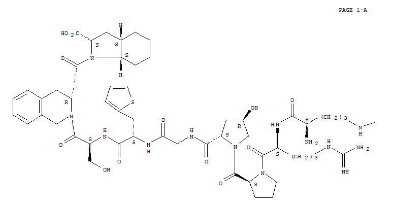
HOE 140, desArg(10)-(138680-92-9)
- Name: HOE 140, desArg(10)-
- Synonyms:L-Alaninamide,D-arginyl-L-arginyl-L-prolyl-trans-4-hydroxy-L-prolylglycyl-N-[2-[3-[(2-carboxyoctahydro-1H-indol-1-yl)carbonyl]-3,4-dihydro-2(1H)-isoquinolinyl]-1-(hydroxymethyl)-2-oxoethyl]-3-(2-thienyl)-,[2S-[1[S*(R*)],2a,3ab,7ab]]-; DRHOE 140; S 0765; [des-Arg10]-HOE 140
- Molecular Formula:C53H77 N15 O12 S
- Molecular Weight:1148.33678
- CAS Registry Number:138680-92-9
- EINECS:
- Melting Point:
- Water Solubility:
Other Product
- 21320-52-5/ethanesulfonic acid - 4-{4-[4-(4,6-diamino-2,2-dimethyl-1,3,5-triazin-1(2H)-yl)phenoxy]butoxy}benzenesulfonyl fluoride (1:1)
- 853-35-0/ANTHRAQUINONE-1,5-DISULFONIC ACID DISODIUM SALT
- 4329-07-1/1,1,1-Trichloro-2-(m-chlorophenyl)-2-(p-chlorophenyl)ethane
- 73836-75-6/Disodium (3S-(3alpha,4beta,21beta))-(21-carboxy-14-ethyl-13-formyl-4,8,18-trimethyl-20-oxo-9-vinylphorbine-3-propionato(4-)-N23,N24,N25,N26)cuprate(2-)
- 53042-79-8/HEXADECADIENOLACETATE
- 2912-87-0/N-ethyl-N-(2-{[methoxy(diphenyl)acetyl]oxy}ethyl)-2-methylpropan-1-aminium chloride
- 58479-55-3/Isobornyl butyrate
- 90645-84-4/octahydro-1H-inden-4-ol
- 55384-02-6/1-[4-(2-methylpropoxy)benzyl]dihydropyrimidine-2,4(1H,3H)-dione
- 109063-87-8/14bH-3,7-Methanoazacycloundecino[5,4-b]indol-14b-ol,7-ethyl-1,2,4,5,6,7,8,9-octahydro-, (7R,14bS)- (9CI)
- 33837-49-9/3-(2,4,6-trioxo-5-phenylhexahydropyrimidin-5-yl)propyl 3,4,5-trimethoxybenzoate
- 15685-17-3/Manganese,bis(N,N-diethylcarbamodithioato-kS,kS')-
- 41757-58-8/5-[(4,8-dimethyldecyl)oxy]-1,3-benzodioxole
- 85748-37-4/methyl 2-[1-(2H-pyrrol-2-ylidene)ethyl]hydrazinecarbodithioate
- 62660-22-4/4H-10,11a-Methano-2H-benzofuro[2,3-f][2]- benzopyran-7-acetic acid,4-(3-furanyl)dodecahydro-10,10adihydroxy- 4a,6,8,8-tetramethyl-9,12-bis(2- methyl-1-oxobutoxy)-2-oxo-,methyl ester
- 40218-96-0/1-[bis(4-fluorophenyl)methyl]-4-cinnamylpiperazine
- 138680-92-9/HOE 140, desArg(10)-
- 28430-15-1/Propylene glycol,glycerin,adipic acid,isophthalic acid polymer
- 121336-68-3/BUTYL ISOSTEARATE
- 55488-60-3/BE 1213
- 155164-66-2/2-benzoyl-4,5-dichloro-pyridazin-3-one
- 31055-36-4/Cobalt(1+),[ethanedioato(2-)-O,O']bis(1,10-phenanthroline-N1,N10)-, chloride, (OC-6-22)-(9CI)
- 67534-25-2/N-[5-[(Aminoiminomethyl)amino]pentyl]-N-[3-[(3-methyl-1-oxo-2-butenyl)amino]propyl]dodecanamide
- 21318-90-1/4-butylphenylguanine
- 421-06-7/2-Bromo-1,1,1-trifluoroethane
- 87203-84-7/4-(2-(4-Methylphenyl)-2-(4-methyl-1-piperazinyl)ethyl)-1,2-benzenediol dihydrobromide hydrate
- 5665-48-5/1,2-Phenanthrenedicarboxylic anhydride
- 52995-06-9/3-carbamoyl-1-[7-chloro-5-(2-chlorophenyl)-2-oxo-2,3-dihydro-1H-1,4-benzodiazepin-3-yl]pyridinium chloride
- 198-36-7/Tetrabenzo[a,de,j,mn]naphthacene
- 57998-70-6/diethyl [2,5-bis(2,2-dimethylaziridin-1-yl)-3,6-dioxocyclohexa-1,4-diene-1,4-diyl]biscarbamate
